Free Access

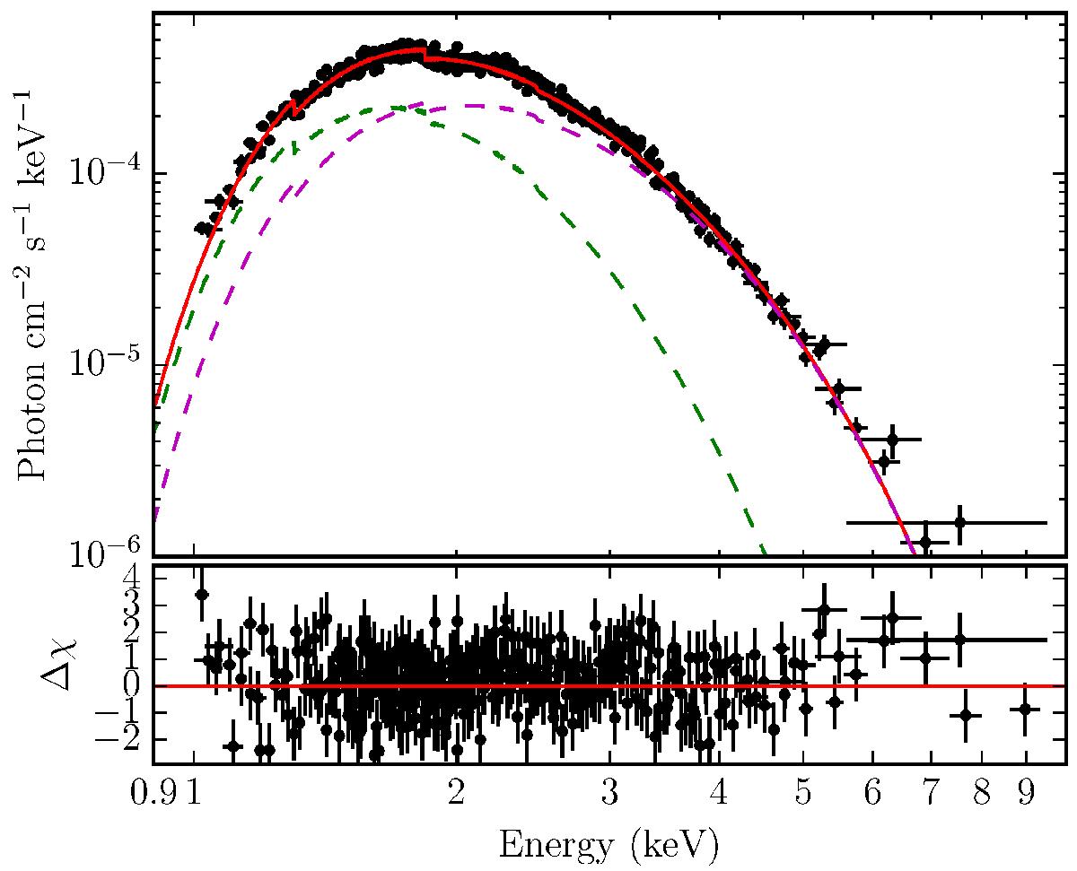
Fig. 11

image

Fit of the observed spectrum of the CCO in HESS J1731347 using two components (the hotspots and the remaining stellar surface) of the pure hydrogen atmosphere model spectra computed with Compton scattering. The assumed distance is 3.2 kpc. The NS mass and radius are fixed to M = 1.5 M and R = 12 km. The reduced χ2 is 1.08 (893 d.o.f.) corresponding to the null-hypothesis probability of P ≃ 0.04. The contribution of the cold and hot components are indicated with the dashed green and magenta curves, respectively.

Current usage metrics show cumulative count of Article Views (full-text article views including HTML views, PDF and ePub downloads, according to the available data) and Abstracts Views on Vision4Press platform.

Data correspond to usage on the plateform after 2015. The current usage metrics is available 48-96 hours after online publication and is updated daily on week days.

Initial download of the metrics may take a while.