Free Access

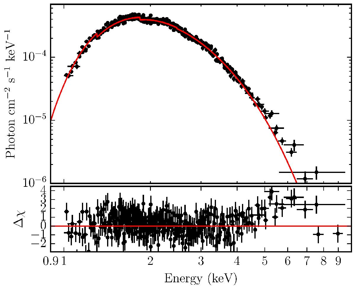
Fig. 9

image

Combined XMM-Newton spectrum of the CCO in HESS J1731347, published in Klochkov et al. (2015), fitted with our hydrogen atmosphere model spectrum accounting for Compton scattering for the fixed distance of 10 kpc (top panel) and the corresponding fit residuals (bottom panel). The reduced corresponding to the null-hypothesis probability of P = 0.0002, which indicates an unacceptable fit.

Current usage metrics show cumulative count of Article Views (full-text article views including HTML views, PDF and ePub downloads, according to the available data) and Abstracts Views on Vision4Press platform.

Data correspond to usage on the plateform after 2015. The current usage metrics is available 48-96 hours after online publication and is updated daily on week days.

Initial download of the metrics may take a while.