Free Access

Fig. 14

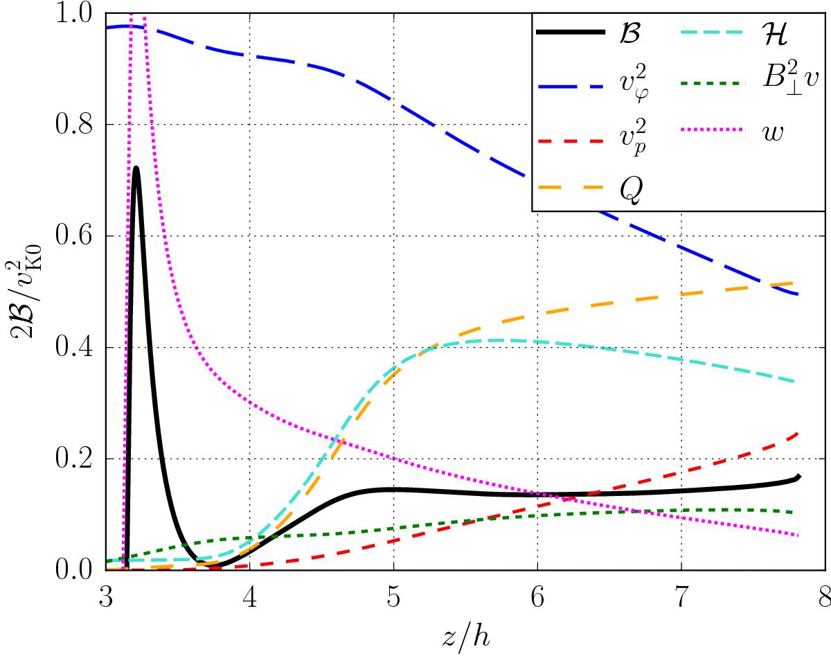
image

Contributions to the Bernoulli invariant (solid black) as explicited in Eq. (20), along a streamline passing through (r = 7r0,z = 5h) in run R10-M3, averaged from 400T0 to 700T0; the gravitational contribution is not shown.

Current usage metrics show cumulative count of Article Views (full-text article views including HTML views, PDF and ePub downloads, according to the available data) and Abstracts Views on Vision4Press platform.

Data correspond to usage on the plateform after 2015. The current usage metrics is available 48-96 hours after online publication and is updated daily on week days.

Initial download of the metrics may take a while.