Free Access

Fig. 22

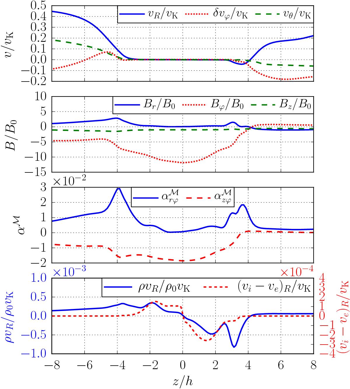
image

Vertical profiles in run R1-M3, averaged in time from 800T0 to 1000T0, and in spherical radius from 6r0 to 8r0. First panel: fluid velocity, normalized by the local Keplerian value vK; the disk mean value has been subtracted from the azimuthal component. Second panel: magnetic field, normalized by the vertically averaged value of Bz. Third panel: horizontal (solid blue) and vertical (dashed red) magnetic stresses, normalized by the vertically averaged pressure (cf. Eq. (8)). Fourth panel: radial mass flux (solid blue), and ion minus electron radial velocity, normalized by the local Keplerian velocity and average density.

Current usage metrics show cumulative count of Article Views (full-text article views including HTML views, PDF and ePub downloads, according to the available data) and Abstracts Views on Vision4Press platform.

Data correspond to usage on the plateform after 2015. The current usage metrics is available 48-96 hours after online publication and is updated daily on week days.

Initial download of the metrics may take a while.