Free Access

Fig. 26

image

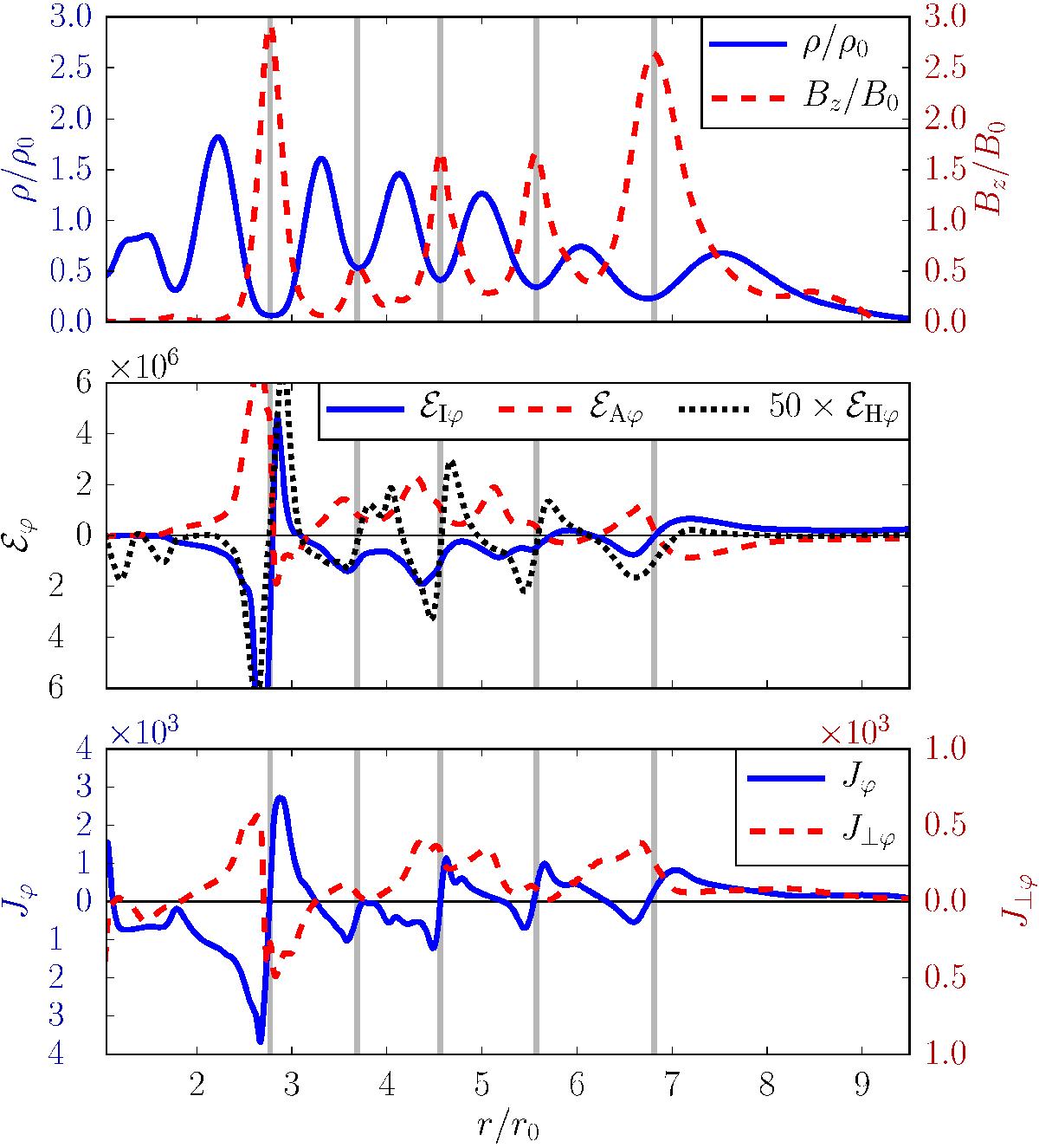
Radial profiles in run R1-P2, vertically averaged through the disk from 500T0 to 700T0; first panel: density (solid blue) and vertical magnetic field (dashed red), normalized by their initial profiles; second panel: ideal (solid blue) ambipolar (dashed red) and Hall (black dots, multiplied by 50 for visibility) electromotive forces, given by Eq. (24); third panel: toroidal component of the electric current Jϕ (solid blue), and of its projection Jϕ normal to the magnetic field; the vertical lines mark the location of magnetic field maxima.

Current usage metrics show cumulative count of Article Views (full-text article views including HTML views, PDF and ePub downloads, according to the available data) and Abstracts Views on Vision4Press platform.

Data correspond to usage on the plateform after 2015. The current usage metrics is available 48-96 hours after online publication and is updated daily on week days.

Initial download of the metrics may take a while.