Free Access

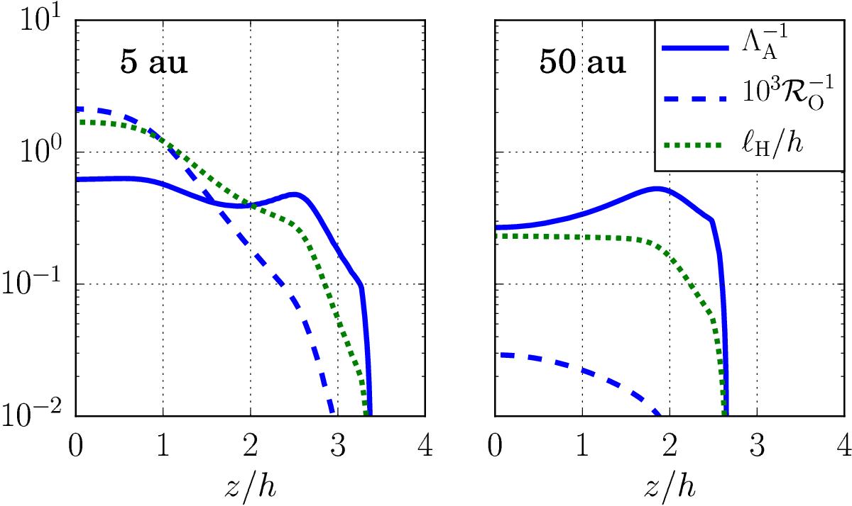
Fig. 3

image

Vertical profiles of dimensionless numbers characterizing non-ideal effects in the initial conditions at r = 5 au (left panel) and r = 50 au (right panel): inverse of the ambipolar Elsasser number (solid blue), inverse of the ohmic Reynolds number (dashed blue, multiplied by 103 for visibility, both at 5 and 50 au), and ratio of the Hall length to the local pressure scale height H/h (green dots).

Current usage metrics show cumulative count of Article Views (full-text article views including HTML views, PDF and ePub downloads, according to the available data) and Abstracts Views on Vision4Press platform.

Data correspond to usage on the plateform after 2015. The current usage metrics is available 48-96 hours after online publication and is updated daily on week days.

Initial download of the metrics may take a while.