Free Access

Fig. 32

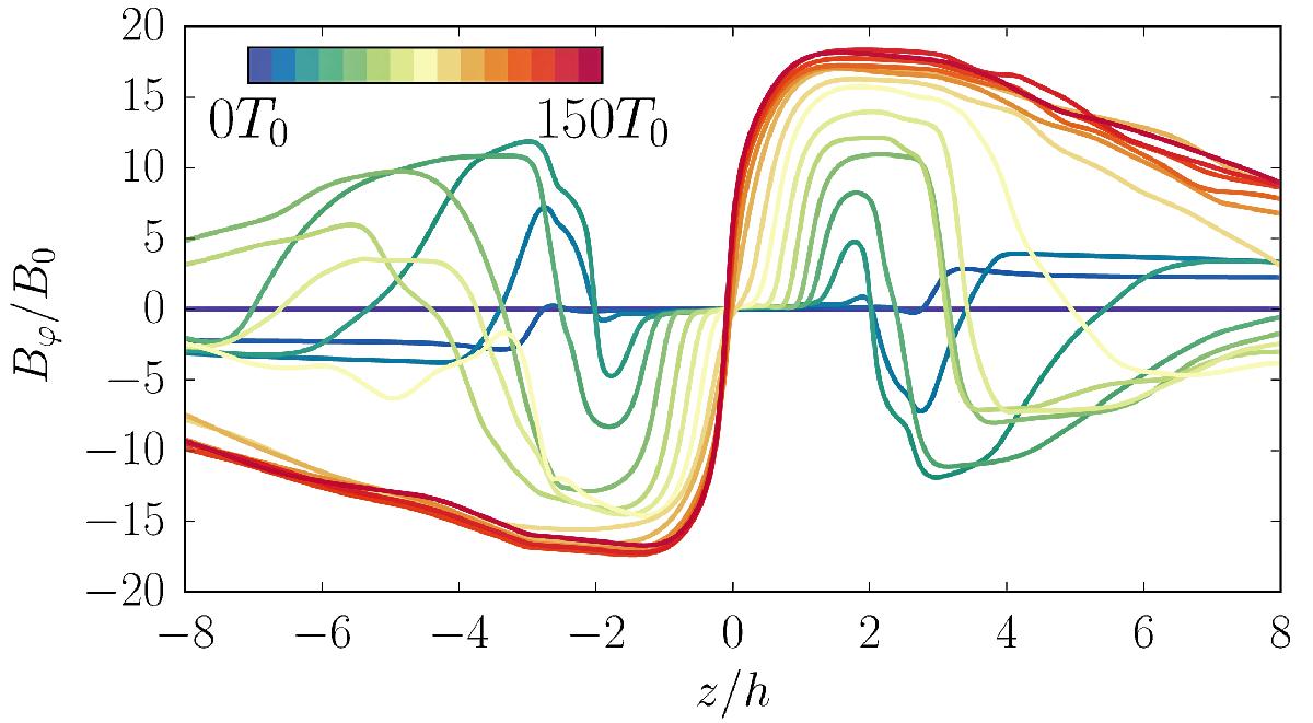
image

Evolution of the toroidal magnetic field Bϕ along a vertical cut at r = 5r0 and over the first 150T0 (color scale) of run R10-M3-C2 (accreting); values have been normalized by the initial, unsigned vertical field at this radius.

Current usage metrics show cumulative count of Article Views (full-text article views including HTML views, PDF and ePub downloads, according to the available data) and Abstracts Views on Vision4Press platform.

Data correspond to usage on the plateform after 2015. The current usage metrics is available 48-96 hours after online publication and is updated daily on week days.

Initial download of the metrics may take a while.