Free Access

Fig. 33

image

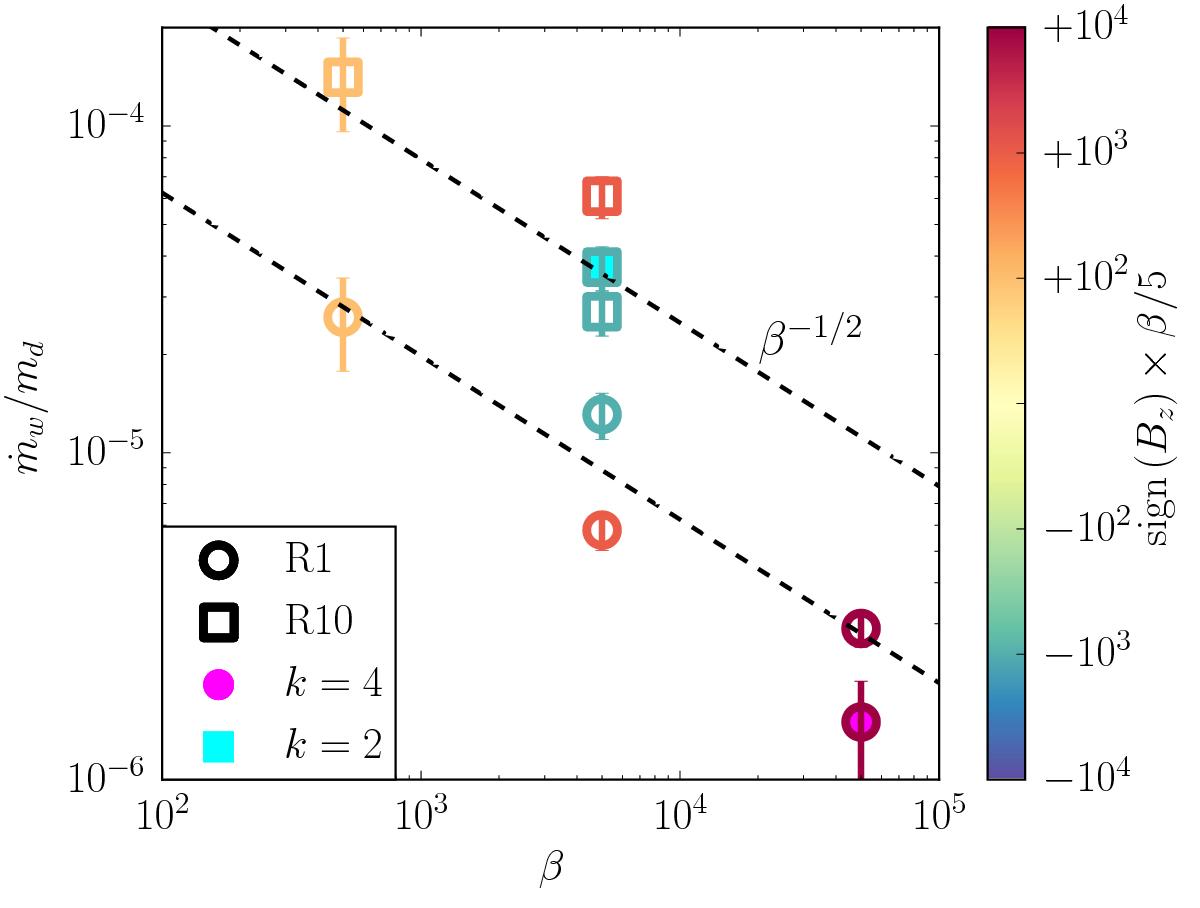
Wind mass loss rate relative to the disk mass W/md as a function of the initial midplane magnetization β; the symbols and color coding are the same as in Fig. 31; the two dashed lines indicate the W ~ β− 1/2 scaling for R1 and R10 runs, bottom and top, respectively.

Current usage metrics show cumulative count of Article Views (full-text article views including HTML views, PDF and ePub downloads, according to the available data) and Abstracts Views on Vision4Press platform.

Data correspond to usage on the plateform after 2015. The current usage metrics is available 48-96 hours after online publication and is updated daily on week days.

Initial download of the metrics may take a while.