Free Access

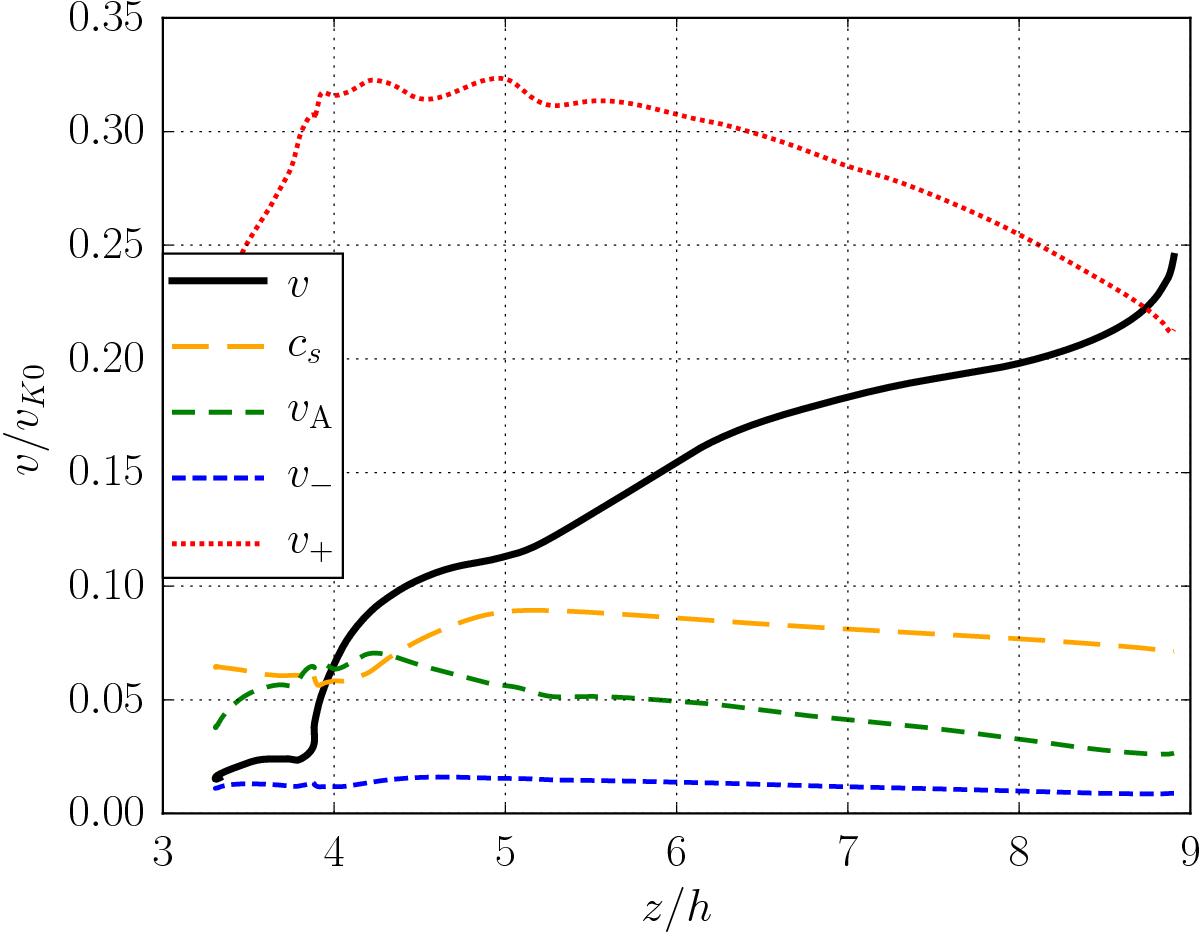
Fig. 8

image

Velocities projected on a streamline passing through (r = 6r0,z = 5h) in run R10-M3-C2 (fiducial), averaged from 400T0 to 500T0, and normalized by the Keplerian velocity at the launching radius vK0; flow velocity v (solid black), sound speed cs (dashed orange), Alfvén velocity vA (dashed green), slow magnetosonic speed v (dashed blue) and fast magnetosonic speed v+ (red dots).

Current usage metrics show cumulative count of Article Views (full-text article views including HTML views, PDF and ePub downloads, according to the available data) and Abstracts Views on Vision4Press platform.

Data correspond to usage on the plateform after 2015. The current usage metrics is available 48-96 hours after online publication and is updated daily on week days.

Initial download of the metrics may take a while.