Free Access

Fig. 1

image

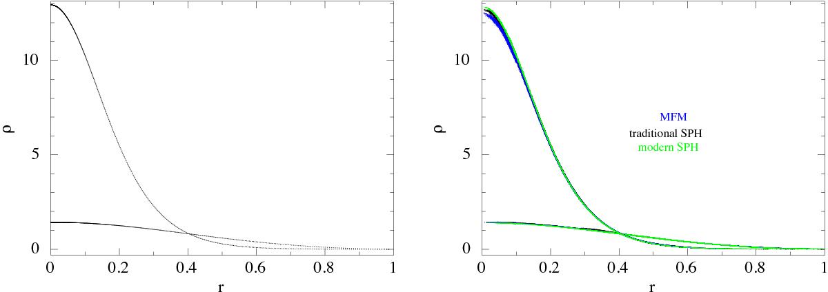
Left panel: analytic solutions for the γ = 4/3,5/3 polytropic radial density profile from the Lane-Emden equation. Right panel: plot of the relaxed radial stellar density profile for each simulation technique for both politropic indices (γ = 4/3,5/3 from the highest to the lowest central density). Units are for ρ and R for r.

Current usage metrics show cumulative count of Article Views (full-text article views including HTML views, PDF and ePub downloads, according to the available data) and Abstracts Views on Vision4Press platform.

Data correspond to usage on the plateform after 2015. The current usage metrics is available 48-96 hours after online publication and is updated daily on week days.

Initial download of the metrics may take a while.