Free Access

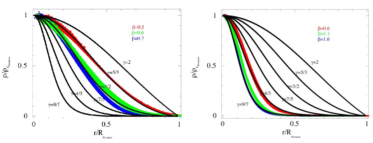
Fig. 8

image

Changes in the value of the polytropic index of the stellar remnant resulting from partial disruptions for selected initial values of its β. Densities and radii are normalised to the central density and the radius of the remnant. Black curves represent solutions to the Lane-Emden equation for different values of γ; red, green, and blue points are from some of our simulations that left a remnant, for three different values of β. Left panel: γ = 5/3 polytrope. Right panel: γ = 4/3 polytrope.

Current usage metrics show cumulative count of Article Views (full-text article views including HTML views, PDF and ePub downloads, according to the available data) and Abstracts Views on Vision4Press platform.

Data correspond to usage on the plateform after 2015. The current usage metrics is available 48-96 hours after online publication and is updated daily on week days.

Initial download of the metrics may take a while.