Free Access

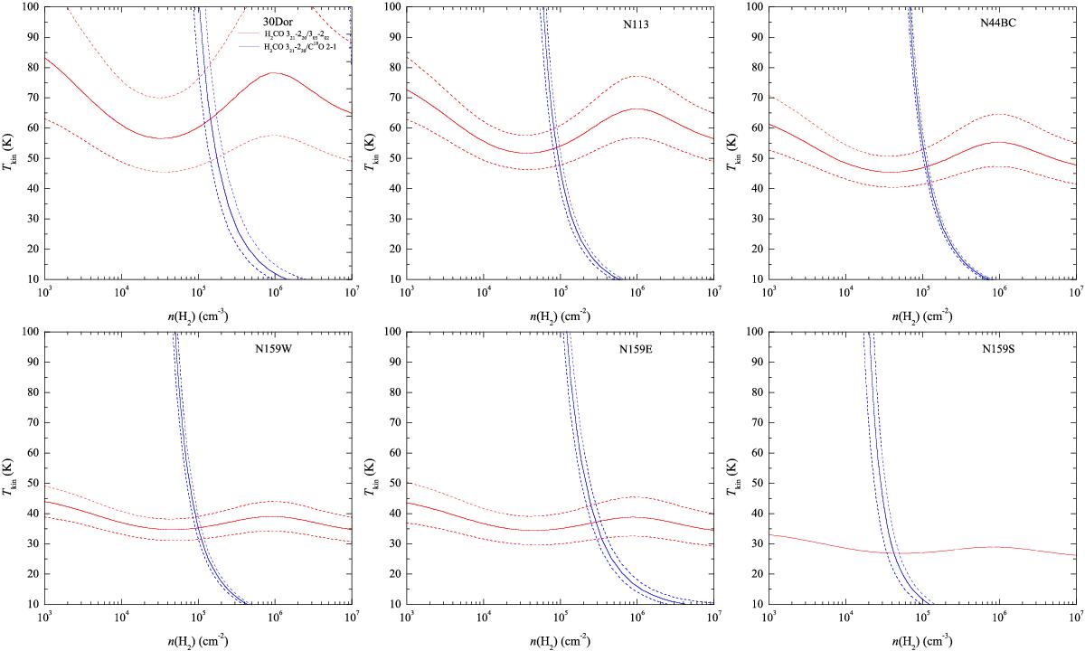
Fig. 2

image

RADEX non-LTE modeling of the gas kinetic temperature and spatial density, using the para-H2CO 321–220/303–202 (red solid and dashed lines are observed values and uncertainties) and para-H2CO 303–202/C18O 2–1 (blue solid and dashed lines) integrated intensity ratios. For details, see the notes to Table 3.

This figure is made of several images, please see below:

Current usage metrics show cumulative count of Article Views (full-text article views including HTML views, PDF and ePub downloads, according to the available data) and Abstracts Views on Vision4Press platform.

Data correspond to usage on the plateform after 2015. The current usage metrics is available 48-96 hours after online publication and is updated daily on week days.

Initial download of the metrics may take a while.