Free Access

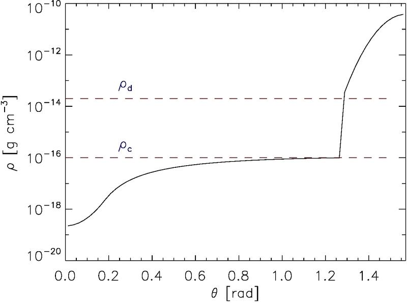
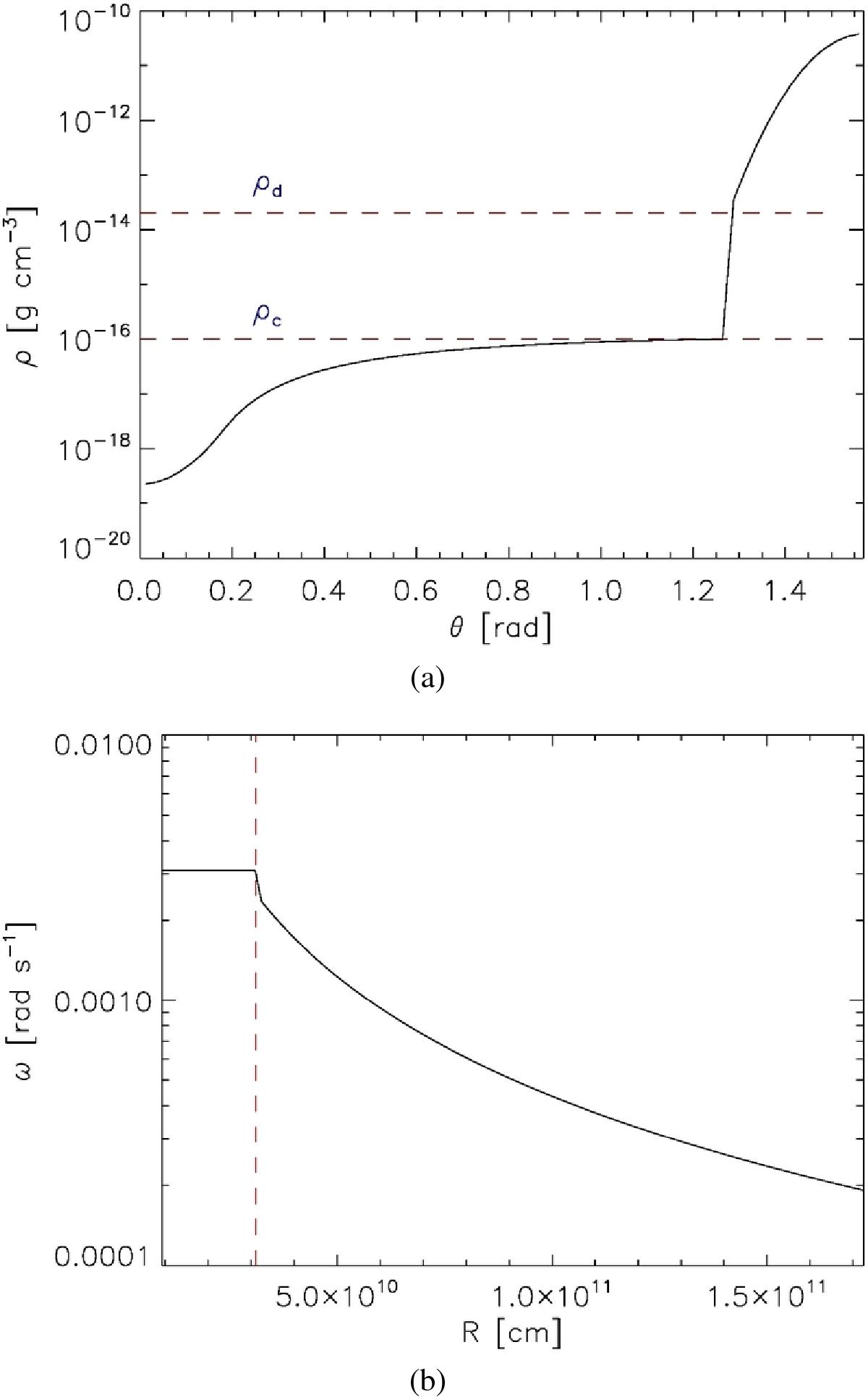
Fig. 3

image

Distribution of some physical quantities: a) density profile along a spherical surface for fixed radius (R = 1.7 × 1011 cm) and for θ between (rotation axis) and 90° (equatorial plane), the horizontal dashed lines show the density of the disk (ρd) and the corona (ρc) at the contact layer; b) angular velocity of the disk in the equatorial plane, the vertical dashed line identifies the truncation radius (Rd) (run F4f1.00a).

This figure is made of several images, please see below:

Current usage metrics show cumulative count of Article Views (full-text article views including HTML views, PDF and ePub downloads, according to the available data) and Abstracts Views on Vision4Press platform.

Data correspond to usage on the plateform after 2015. The current usage metrics is available 48-96 hours after online publication and is updated daily on week days.

Initial download of the metrics may take a while.