Free Access

Fig. 5

image

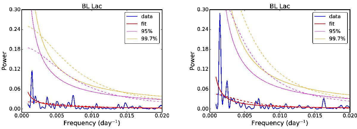
Left panel: PDS of BL Lac from the 100 MeV–300 GeV Fermi light curve from Aug. 2008 to Jan. 2016. Lomb-Scargle spectrum of the input time-series data is given in blue and the best-fit noise spectrum in red. Global 95.0% and 99.7% false alarm levels are shown with purple and yellow lines. Solid and dashed lines indicate PL and AR1 models, respectively. Right panel: as above from the R-band light curve.

This figure is made of several images, please see below:

Current usage metrics show cumulative count of Article Views (full-text article views including HTML views, PDF and ePub downloads, according to the available data) and Abstracts Views on Vision4Press platform.

Data correspond to usage on the plateform after 2015. The current usage metrics is available 48-96 hours after online publication and is updated daily on week days.

Initial download of the metrics may take a while.