Free Access

Fig. 10

image

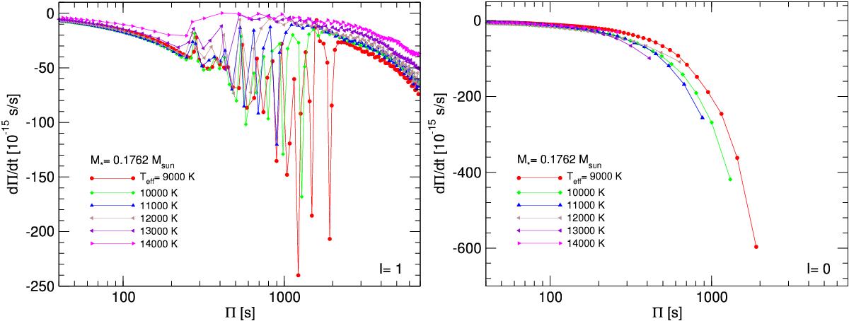
Left: rates of period change versus the pulsation periods of = 1g, p, and pg mixed modes, corresponding to low-mass pre-WD models characterized by a stellar mass M = 0.1703 M and different effective temperatures. Right: similar to left panel, but for radial ( = 0) modes.

This figure is made of several images, please see below:

Current usage metrics show cumulative count of Article Views (full-text article views including HTML views, PDF and ePub downloads, according to the available data) and Abstracts Views on Vision4Press platform.

Data correspond to usage on the plateform after 2015. The current usage metrics is available 48-96 hours after online publication and is updated daily on week days.

Initial download of the metrics may take a while.