Free Access

Fig. 12

image

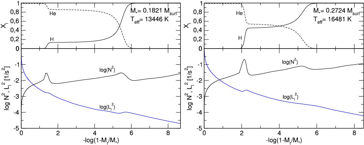
Left: internal chemical abundances of H and He (upper panel) and the logarithm of the squared Brunt-Väisälä and Lamb frequencies (lower panel) in terms of the mass coordinate [−log (1−Mr/M)] corresponding to the pre-CNO flash template model with M = 0.1821 M and Teff = 13 446 K whose location in the log Teff−log g diagram is indicated in the left panel of Fig. 11. Right: same as in left panel, but for the pre-CNO flash template model with 0.2724 M and Teff = 16 481 K. Its location in the log Teff−log g plane plane is indicated in the right panel of Fig. 11.

This figure is made of several images, please see below:

Current usage metrics show cumulative count of Article Views (full-text article views including HTML views, PDF and ePub downloads, according to the available data) and Abstracts Views on Vision4Press platform.

Data correspond to usage on the plateform after 2015. The current usage metrics is available 48-96 hours after online publication and is updated daily on week days.

Initial download of the metrics may take a while.