Highlight
Free Access

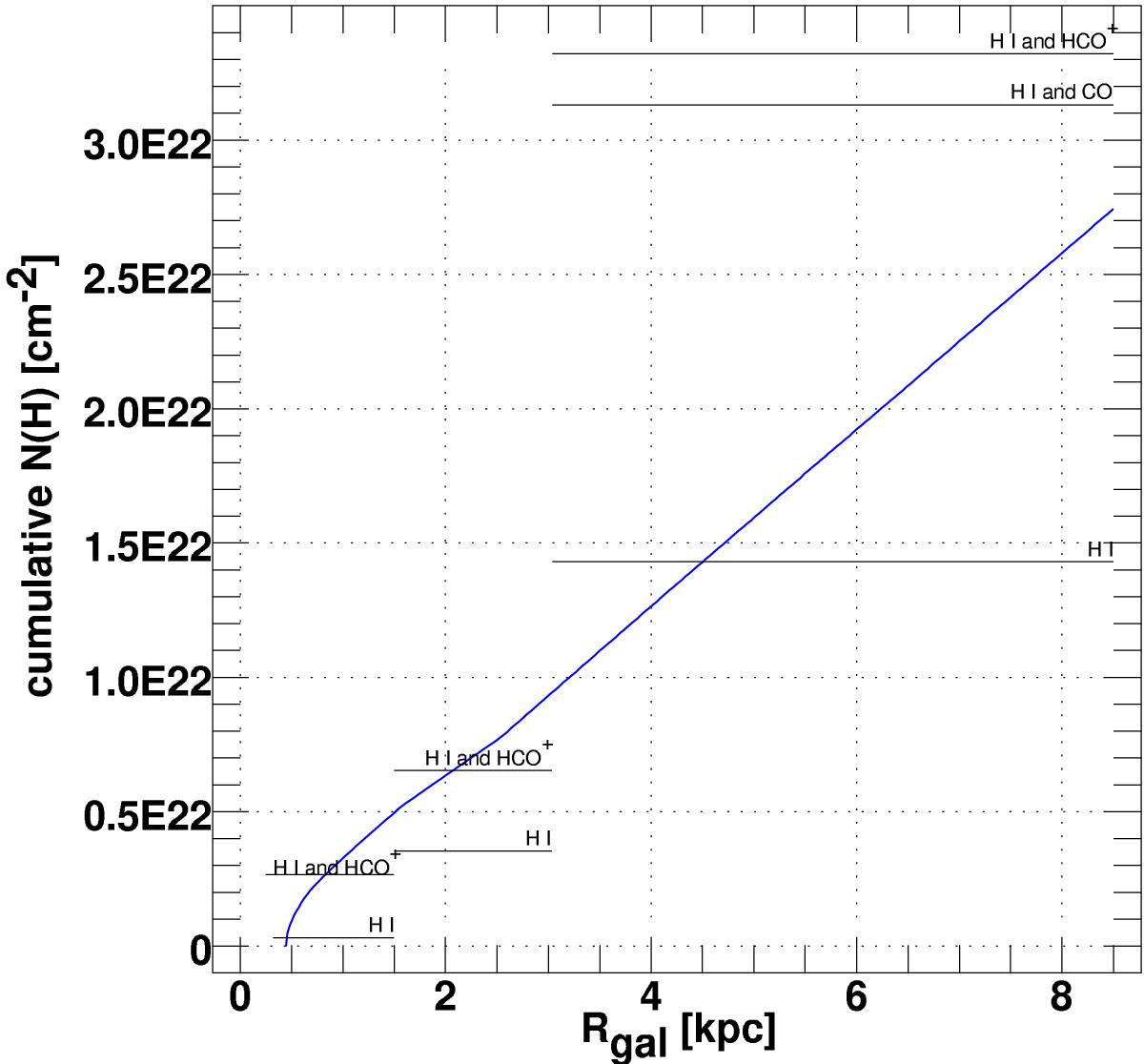
Fig. 5

image

Variation in cumulative hydrogen column densities N(H I) and N(H) = N(H I) + 2N(H2) vs. galactocentric radius. The solid blue curve for the total column density N(H) was derived by inverting the variation of E(JK) with distance modulus in the 3D extinction data cube of Schultheis et al. (2014), as discussed in Sect. 2.3. The binned estimates for N(H) from H I and HCO+ or H I and CO assume N(HCO+)/N(H2) =3×10-9 or N(H2) =2×1020 cm-2WCO. The bins correspond to the ranges of galactocentric radius listed in Table 1.

Current usage metrics show cumulative count of Article Views (full-text article views including HTML views, PDF and ePub downloads, according to the available data) and Abstracts Views on Vision4Press platform.

Data correspond to usage on the plateform after 2015. The current usage metrics is available 48-96 hours after online publication and is updated daily on week days.

Initial download of the metrics may take a while.