Press Release
Free Access

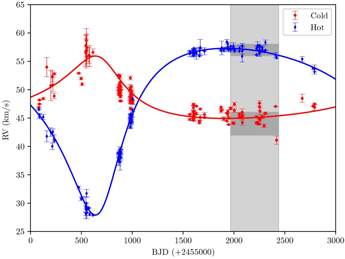
Fig. 3

image

Radial velocity curves of the hot and cool components of BD+30°623. The light grey shaded region marks the time coverage of the study of Méndez et al. (2016), while the dark grey regions enclose their confidence limits for the radial velocities of the two components.

Current usage metrics show cumulative count of Article Views (full-text article views including HTML views, PDF and ePub downloads, according to the available data) and Abstracts Views on Vision4Press platform.

Data correspond to usage on the plateform after 2015. The current usage metrics is available 48-96 hours after online publication and is updated daily on week days.

Initial download of the metrics may take a while.