Free Access

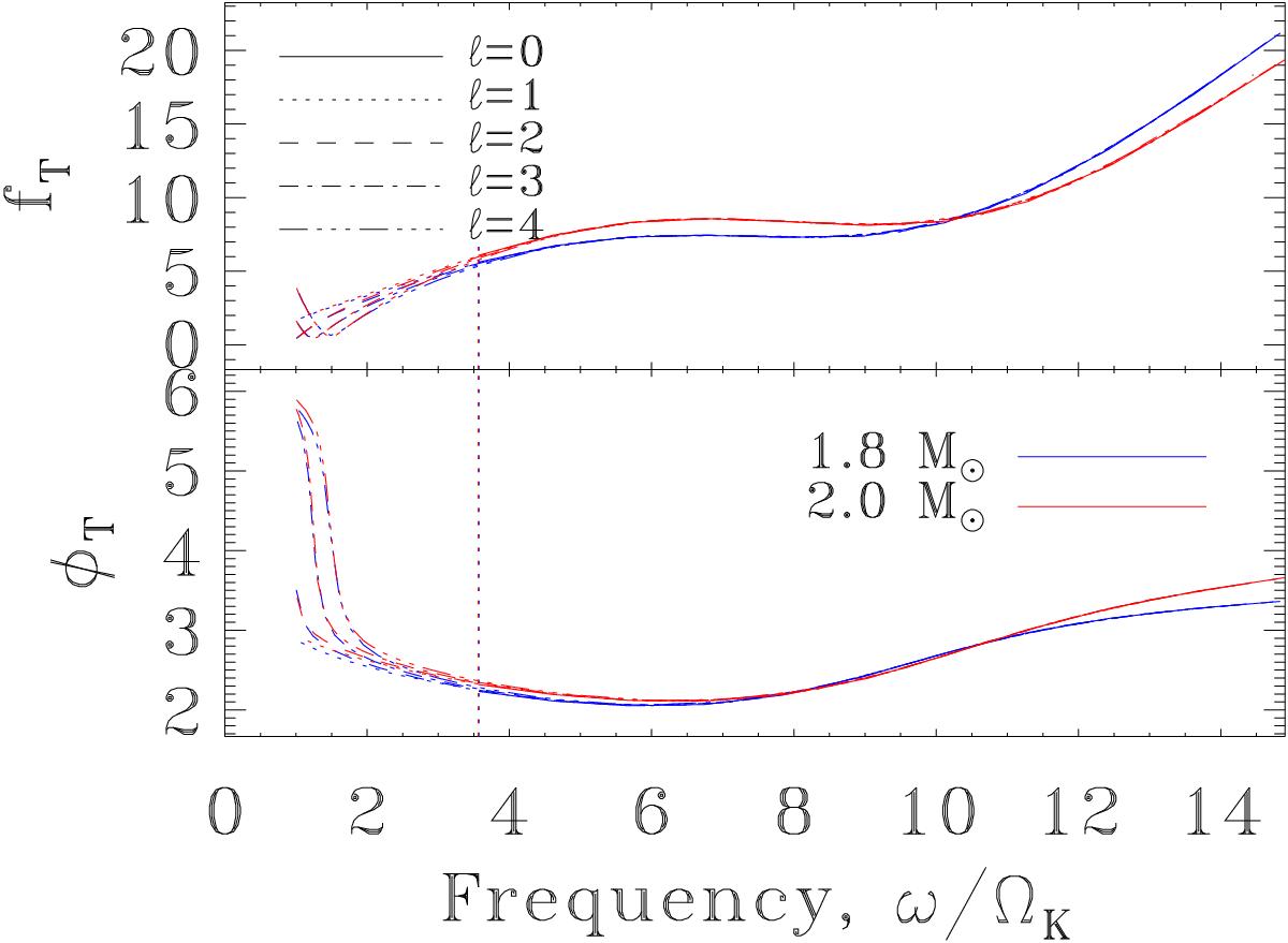
Fig. 10

image

Quantities fT and φT in two non-rotating models with masses 1.8 M and 2.0 M. The two models have virtually the same temperature (8143.9 K and 8137.3 K, respectively), but different log  (g) values (4.1249 dex and 3.9593 dex, respectively). The different line styles correspond to different values, and the overlapping vertical dotted lines (which are hard to distinguish) indicate the position of the fundamental modes of both models.

Current usage metrics show cumulative count of Article Views (full-text article views including HTML views, PDF and ePub downloads, according to the available data) and Abstracts Views on Vision4Press platform.

Data correspond to usage on the plateform after 2015. The current usage metrics is available 48-96 hours after online publication and is updated daily on week days.

Initial download of the metrics may take a while.