Free Access

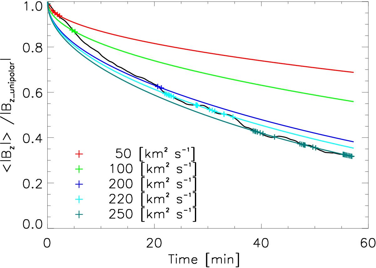
Fig. 8

image

Measurement of effective diffusion coefficients by the indirect method. Black: time evolution of the average vertical field strength for a box depth of 2.85 Mm. Initial magnetic field | Bz | = 50 G, polarity stripe width 3 Mm, horizontal resolution 25 km. Colors: Eq. (3) for five values of the assumed diffusion coefficient. Symbols mark the intersection points with the numerical evolution shown in Fig. 11.

Current usage metrics show cumulative count of Article Views (full-text article views including HTML views, PDF and ePub downloads, according to the available data) and Abstracts Views on Vision4Press platform.

Data correspond to usage on the plateform after 2015. The current usage metrics is available 48-96 hours after online publication and is updated daily on week days.

Initial download of the metrics may take a while.