Free Access

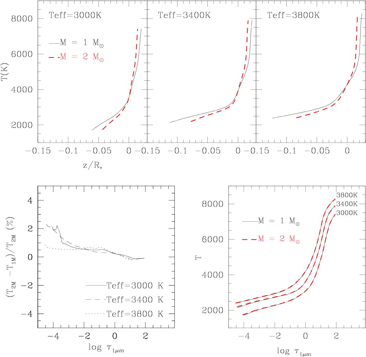
Fig. 4

image

Upper panel: comparison of the effective temperature and atmospheric extension (z/R, where z is the geometrical height in the atmosphere, z = 0 at log (τRoss) = 0), for models with M = 1 M and 2 M, for three different temperatures, as labelled. The stellar parameters are log g = 0., [Fe/H] = 0, [s/Fe] = 1, C/O = 0.97 for all represented models. Lower panel, left: relative difference in effective temperature of the 2 M and 1 M models. Lower panel, right: effective temperature as a function of the optical depth at 1 μm.

Current usage metrics show cumulative count of Article Views (full-text article views including HTML views, PDF and ePub downloads, according to the available data) and Abstracts Views on Vision4Press platform.

Data correspond to usage on the plateform after 2015. The current usage metrics is available 48-96 hours after online publication and is updated daily on week days.

Initial download of the metrics may take a while.