Free Access

Fig. 5

image

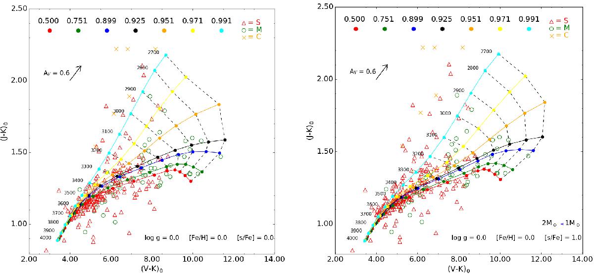
Dereddened (VK,JK) colour–colour diagram for Henize S stars (open triangles) and M giants (open circles, from Whitelock et al. 2000) and a few C stars (crosses, from Whitelock et al. 2000), as compared to model colours (grid) of different effective temperatures and C/O ratios, for log g = 0, M = 1 M, [Fe/H] = 0 and for [s/Fe] = +0 dex (left) or [s/Fe] = +1 dex (right). The effective temperature ranges from 4000 to 2700 K, from bottom to top, as labelled in the figure; models with identical effective temperatures are connected by dashed lines. Different C/O ratios from 0.5 to 0.99 are represented by solid lines, the leftmost for C/O = 0.991, next to that C/O = 0.971, etc. The small error bars on the lower right corner of the [s/Fe] = 1 panel (in VK and in JK, barely seen) represent the variation of the colours at Teff = 3000 K of 2 M models with respect to 1 M models, 2 M models being slightly bluer (Δ(VK) = 0.1 mag) than 1 M models. The arrow marks the reddening vector for AV = 0.6 mag.

This figure is made of several images, please see below:

Current usage metrics show cumulative count of Article Views (full-text article views including HTML views, PDF and ePub downloads, according to the available data) and Abstracts Views on Vision4Press platform.

Data correspond to usage on the plateform after 2015. The current usage metrics is available 48-96 hours after online publication and is updated daily on week days.

Initial download of the metrics may take a while.