Free Access

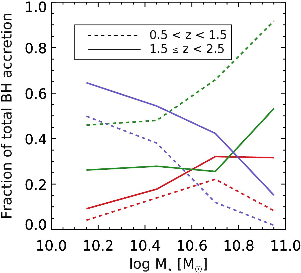
Fig. 14

image

Fraction of the total BH mass accretion at a given stellar mass occurring in different galaxy types. Red, green, and blue lines denote BH accretion in the red, green, and blue AGN hosts, respectively. The BH mass accretion in each population of hosts was derived from integrated bolometric (scales as X-ray) luminosity. In general, most BH accretion in high-mass galaxies (BHs) takes place in green and red galaxies while blue galaxies start to dominate BH accretion at lower stellar masses (M ≲ 1010.6 M).

Current usage metrics show cumulative count of Article Views (full-text article views including HTML views, PDF and ePub downloads, according to the available data) and Abstracts Views on Vision4Press platform.

Data correspond to usage on the plateform after 2015. The current usage metrics is available 48-96 hours after online publication and is updated daily on week days.

Initial download of the metrics may take a while.