Free Access

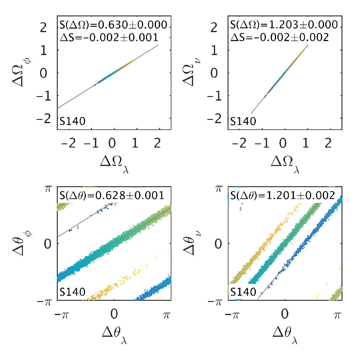
Fig. 12

image

Stream S140 but now with a Carina-like progenitor, after 10 Gyr of evolution in the Kuzmin-Kutuzov potential. The colours and insets are the same as in Fig. 10. With the smaller progenitor, the stream is much thinner and the error on the fitting is significantly reduced, which basically removes the angle-frequency misalignment.

Current usage metrics show cumulative count of Article Views (full-text article views including HTML views, PDF and ePub downloads, according to the available data) and Abstracts Views on Vision4Press platform.

Data correspond to usage on the plateform after 2015. The current usage metrics is available 48-96 hours after online publication and is updated daily on week days.

Initial download of the metrics may take a while.