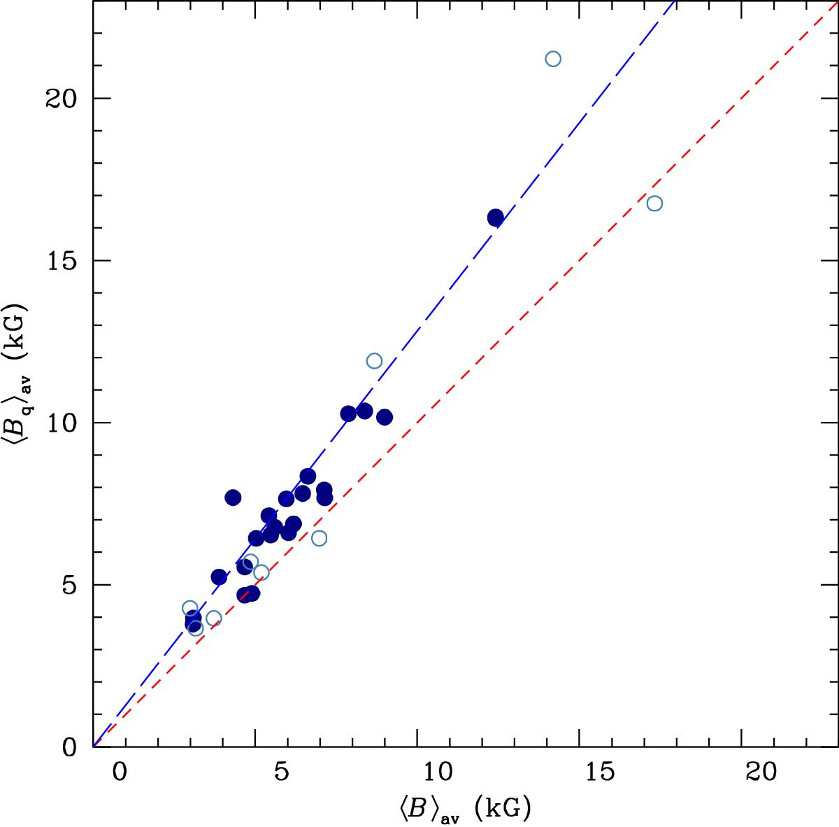
Fig. 12
Observed average of the mean quadratic magnetic field against the observed average of the mean magnetic field modulus. Open symbols are used to distinguish those stars for which either or both of ⟨ Bq ⟩ av and ⟨ B ⟩ av were computed using less than 7 individual measurements of ⟨ Bq ⟩ and ⟨ B ⟩, respectively. The short-dashed line corresponds to ⟨ Bq ⟩ av = ⟨ B ⟩ av. The long-dashed line represents the least-squares fit of the observed relation between ⟨ Bq ⟩ av and ⟨ B ⟩ av; it is based only on the stars for which at least 7 measurements of both ⟨ Bq ⟩ and ⟨ B ⟩ are available.
Current usage metrics show cumulative count of Article Views (full-text article views including HTML views, PDF and ePub downloads, according to the available data) and Abstracts Views on Vision4Press platform.
Data correspond to usage on the plateform after 2015. The current usage metrics is available 48-96 hours after online publication and is updated daily on week days.
Initial download of the metrics may take a while.