Highlight
Free Access

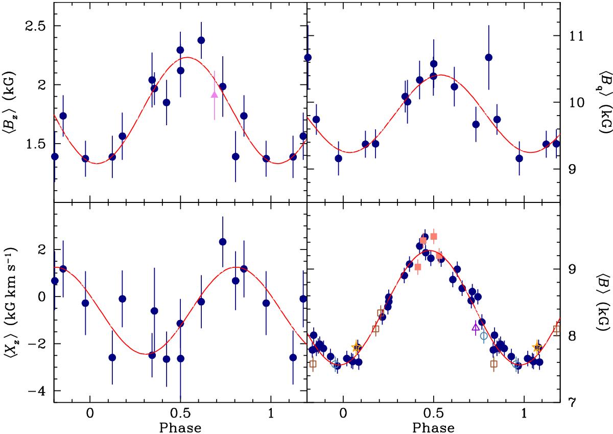
Fig. A.30

image

Mean longitudinal magnetic field (top left), crossover (bottom left), mean quadratic magnetic field (top right), and mean magnetic field modulus (bottom right) of the star HD 81009, against rotation phase. The symbols are as described at the beginning of Appendix A.

Current usage metrics show cumulative count of Article Views (full-text article views including HTML views, PDF and ePub downloads, according to the available data) and Abstracts Views on Vision4Press platform.

Data correspond to usage on the plateform after 2015. The current usage metrics is available 48-96 hours after online publication and is updated daily on week days.

Initial download of the metrics may take a while.