Free Access

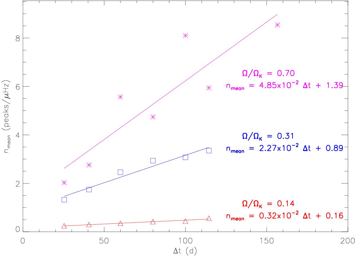
Fig. 8

image

Mean density of peaks with duration of the studied light curves for KIC 5892969 (red triangles), CID 546 (blue squares), and CID 8669 (purple asterisks). Each line is the linear fit to the data points.

Current usage metrics show cumulative count of Article Views (full-text article views including HTML views, PDF and ePub downloads, according to the available data) and Abstracts Views on Vision4Press platform.

Data correspond to usage on the plateform after 2015. The current usage metrics is available 48-96 hours after online publication and is updated daily on week days.

Initial download of the metrics may take a while.