Free Access

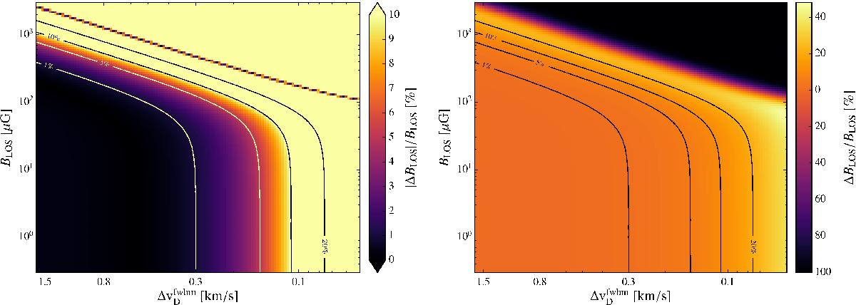
Fig. 3

image

Relative difference between the derived and reference LOS magnetic field strength dependent on the LOS magnetic field strength BLOS and Doppler broadening width (hydrogen number density nH = 2 × 105 cm-3). The right image takes the sign of the relative difference into account. The contour lines correspond to relative differences of 1%, 5%, 10%, and 20%.

Current usage metrics show cumulative count of Article Views (full-text article views including HTML views, PDF and ePub downloads, according to the available data) and Abstracts Views on Vision4Press platform.

Data correspond to usage on the plateform after 2015. The current usage metrics is available 48-96 hours after online publication and is updated daily on week days.

Initial download of the metrics may take a while.