Free Access

Fig. 13

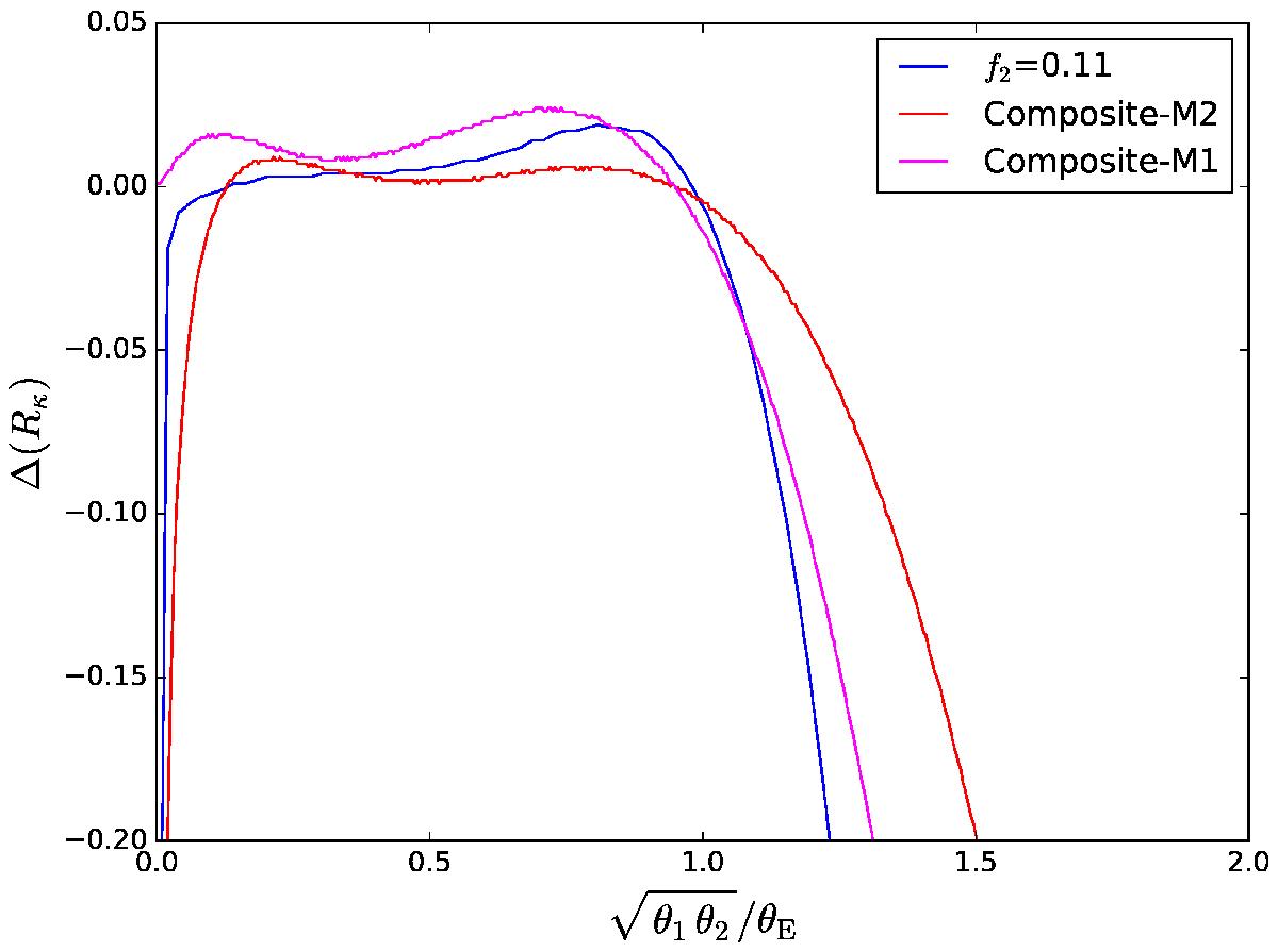
image

Difference between Rκ calculated for three different pairs of profiles: In blue, an NIS and an SPT-transformed model with f2 = 0.11 and γp = 0.1; in magenta, a composite Hernquist+gNFW model and a power-law model (M1); in red, Hernquist+gNFW model and a cored power-law model (M2). The shape of ΔRκ for the models presented in SS13 and SS14 are qualitatively similar to that observed for the fiducial SPT model presented in Sect. 4.

Current usage metrics show cumulative count of Article Views (full-text article views including HTML views, PDF and ePub downloads, according to the available data) and Abstracts Views on Vision4Press platform.

Data correspond to usage on the plateform after 2015. The current usage metrics is available 48-96 hours after online publication and is updated daily on week days.

Initial download of the metrics may take a while.