Free Access

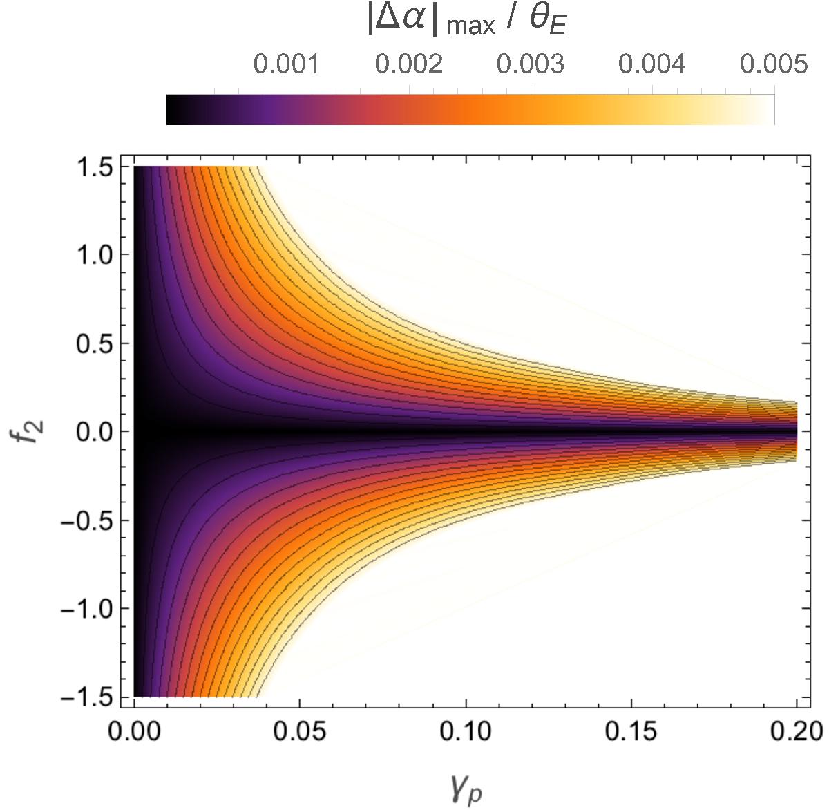
Fig. 4

image

Values of α| max are plotted against the parameters f2 from (28) and external shear strength γp. The colored region indicates allowed pairs of parameters that fulfill the α| < 5 × 10-3θE-criterion. For obtaining this figure, we used the SOR method.

Current usage metrics show cumulative count of Article Views (full-text article views including HTML views, PDF and ePub downloads, according to the available data) and Abstracts Views on Vision4Press platform.

Data correspond to usage on the plateform after 2015. The current usage metrics is available 48-96 hours after online publication and is updated daily on week days.

Initial download of the metrics may take a while.