Free Access

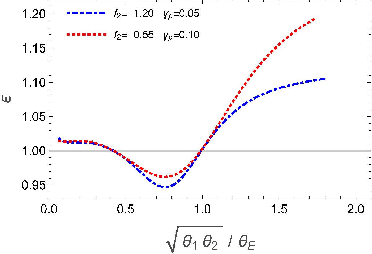
Fig. 9

image

Radial dependence of the axis ratio ϵ. In the unperturbed case the isodensity contours are circular, i.e., . The SPTed mass distribution shows for radii deviations of up to 5% from circularity, whereas for larger radii the deviations can be up to 20%. The convergence map for f2 = −0.55 and γp = 0.1 does not show concentric isodensity contours for radii larger than 1.3 θE and therefore no ellipticity as a function radius can be determined.

Current usage metrics show cumulative count of Article Views (full-text article views including HTML views, PDF and ePub downloads, according to the available data) and Abstracts Views on Vision4Press platform.

Data correspond to usage on the plateform after 2015. The current usage metrics is available 48-96 hours after online publication and is updated daily on week days.

Initial download of the metrics may take a while.