Free Access

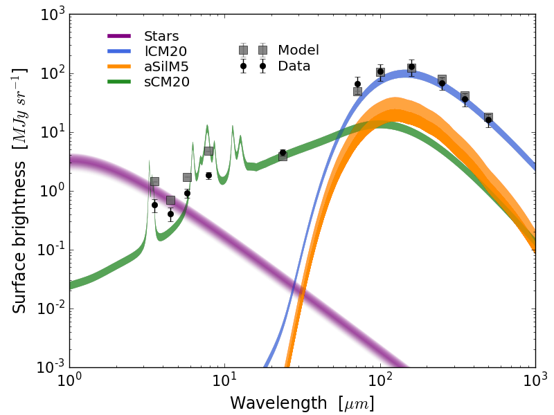
Fig. 8

image

Visualization of the unconstrained (top) and constrained (bottom) silicate fit. In the top panel, the different transparency surfaces show the possible range for the final silicate value, that is, very broad and uncertain. On bottom panel, the same technique is used to draw a constrained fit.

This figure is made of several images, please see below:

Current usage metrics show cumulative count of Article Views (full-text article views including HTML views, PDF and ePub downloads, according to the available data) and Abstracts Views on Vision4Press platform.

Data correspond to usage on the plateform after 2015. The current usage metrics is available 48-96 hours after online publication and is updated daily on week days.

Initial download of the metrics may take a while.