Highlight
Free Access

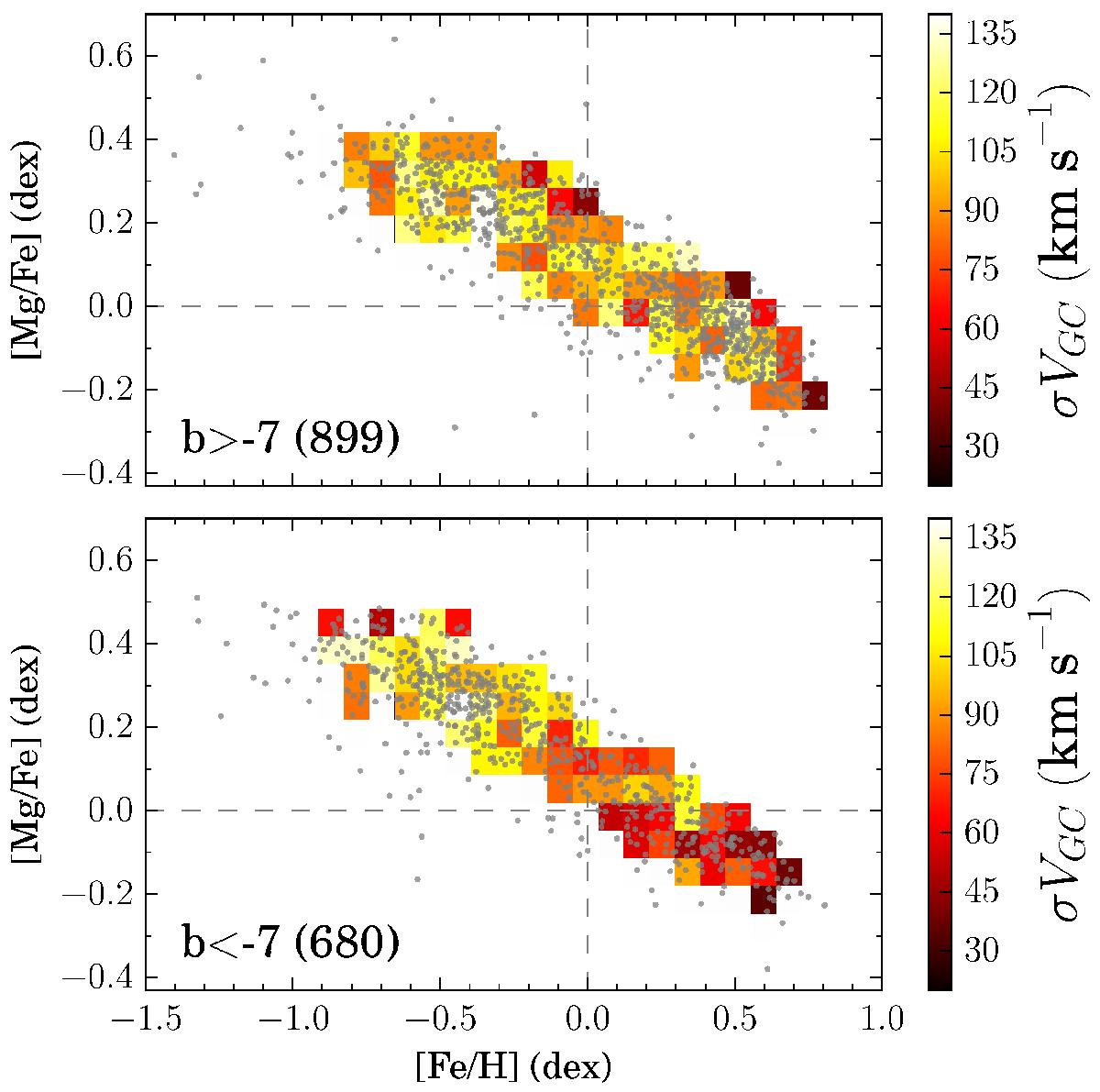
Fig. 12

image

Velocity dispersion distribution in the [Mg/Fe] vs. [Fe/H] plane. The sample is divided into small parcels inside which velocity dispersions are calculated. They are color-coded as indicated by the colorbars. Two gray dashed lines indicate in each panel the Sun’s position for reference. Upper panel: fields close to the plane with b> −7. Lower panel: fields far from the plane with b< −7. The number of stars is given in parentheses.

Current usage metrics show cumulative count of Article Views (full-text article views including HTML views, PDF and ePub downloads, according to the available data) and Abstracts Views on Vision4Press platform.

Data correspond to usage on the plateform after 2015. The current usage metrics is available 48-96 hours after online publication and is updated daily on week days.

Initial download of the metrics may take a while.