Highlight
Free Access

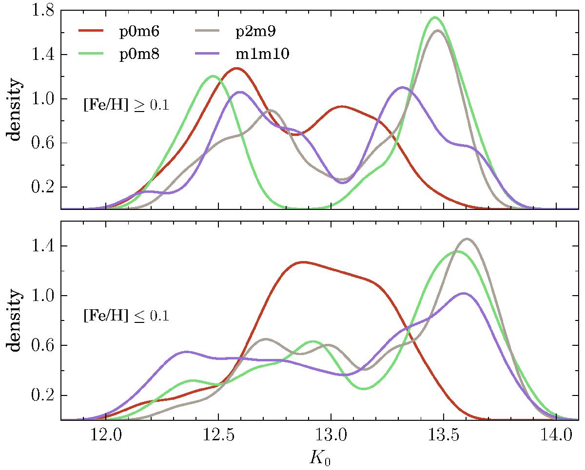
Fig. 8

image

Double RC in the magnitude distribution of bulge stars as a function of metallicity. Upper panel: generalized histograms (Gaussian kernel of 0.09 mag) of the extinction corrected Ks magnitudes for stars with [Fe/H] ≳ + 0.1 dex. Lower panel: generalized histograms (Gaussian kernel of 0.09 mag) of the extinction corrected Ks magnitudes for stars with [Fe/H] ≲ + 0.1 dex. The same color-coding is used to identify the different fields in both panels.

Current usage metrics show cumulative count of Article Views (full-text article views including HTML views, PDF and ePub downloads, according to the available data) and Abstracts Views on Vision4Press platform.

Data correspond to usage on the plateform after 2015. The current usage metrics is available 48-96 hours after online publication and is updated daily on week days.

Initial download of the metrics may take a while.