Free Access

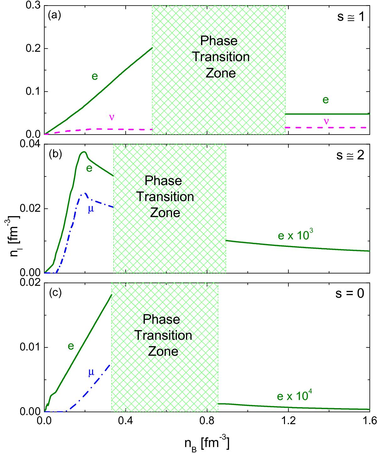
Fig. 4

image

Lepton densities nl as a function of baryonic density, nB, considering the Set 2 for the three fixed entropies: a) s ≃ 1, with lepton abundances YLe = 0.4 and YLμ = 0, b) s ≃ 2, and c) s = 0. Hatched areas indicate the phase transition zone. In panels b) and c) Yν = 0, and muons are present.

Current usage metrics show cumulative count of Article Views (full-text article views including HTML views, PDF and ePub downloads, according to the available data) and Abstracts Views on Vision4Press platform.

Data correspond to usage on the plateform after 2015. The current usage metrics is available 48-96 hours after online publication and is updated daily on week days.

Initial download of the metrics may take a while.