Free Access

Fig. 9

image

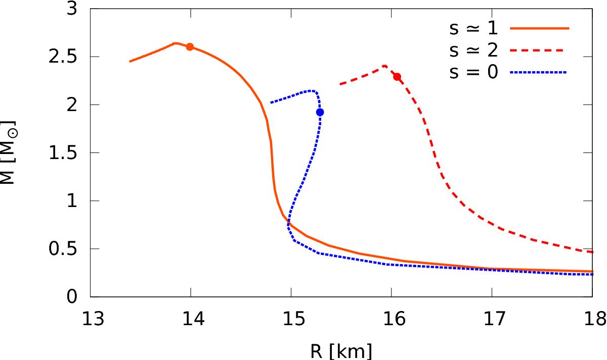
M-R relationship for Set 2 (V1 = 0.03 GeV, G2 = 0.010 GeV4). In each constant-entropy curve, the rounded dot indicates the appearance of the quark matter core.

Current usage metrics show cumulative count of Article Views (full-text article views including HTML views, PDF and ePub downloads, according to the available data) and Abstracts Views on Vision4Press platform.

Data correspond to usage on the plateform after 2015. The current usage metrics is available 48-96 hours after online publication and is updated daily on week days.

Initial download of the metrics may take a while.