Free Access

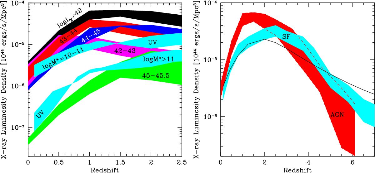
Fig. 9

image

Evolution of the X-ray 2–10 keV AGN luminosity density for different AGN luminosities. Left panel: AGN luminosity density for AGN, split in ranges of 2–10 keV luminosity, as labelled. Cyan bands show the SF luminosity density as estimated by Santini et al. (2009) and Gruppioni et al. (2015), divided by a factor of 1000 for plotting purpose, for galaxies with log M = 10–11 and log M> 11. Right panel: total AGN luminosity density for AGN with L(2–10) = >1043 erg/s (red band). SF luminosity density as estimated by Santini et al. (2009), Gruppioni et al. (2015), and Bouwens et al. (2011; 2015) and divided by a factor 1000 for plotting purposes (cyan band). Average SF luminosity density as estimated by Madau & Dickinson (2014; black solid line).

Current usage metrics show cumulative count of Article Views (full-text article views including HTML views, PDF and ePub downloads, according to the available data) and Abstracts Views on Vision4Press platform.

Data correspond to usage on the plateform after 2015. The current usage metrics is available 48-96 hours after online publication and is updated daily on week days.

Initial download of the metrics may take a while.