Free Access

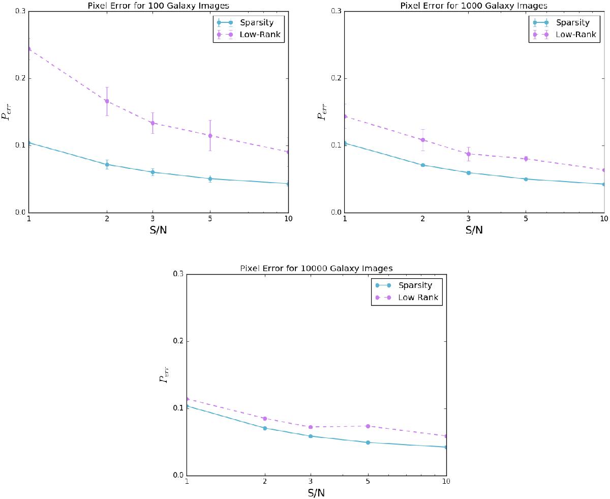
Fig. 3

image

Pixel error as a function of S/N. Mean results from ten random samples of 100 galaxy images with standard deviation error bars (top-left panel). Mean results from ten random samples of 1000 galaxy images with standard deviation error bars (top-right panel). Results for all 10 000 galaxy images (bottom). Solid blue lines indicate results obtained using sparse regularisation and dashed purple lines indicate results obtained using the low-rank approximation.

This figure is made of several images, please see below:

Current usage metrics show cumulative count of Article Views (full-text article views including HTML views, PDF and ePub downloads, according to the available data) and Abstracts Views on Vision4Press platform.

Data correspond to usage on the plateform after 2015. The current usage metrics is available 48-96 hours after online publication and is updated daily on week days.

Initial download of the metrics may take a while.