Free Access

This article has an erratum: [https://doi.org/10.1051/0004-6361/201935428e]


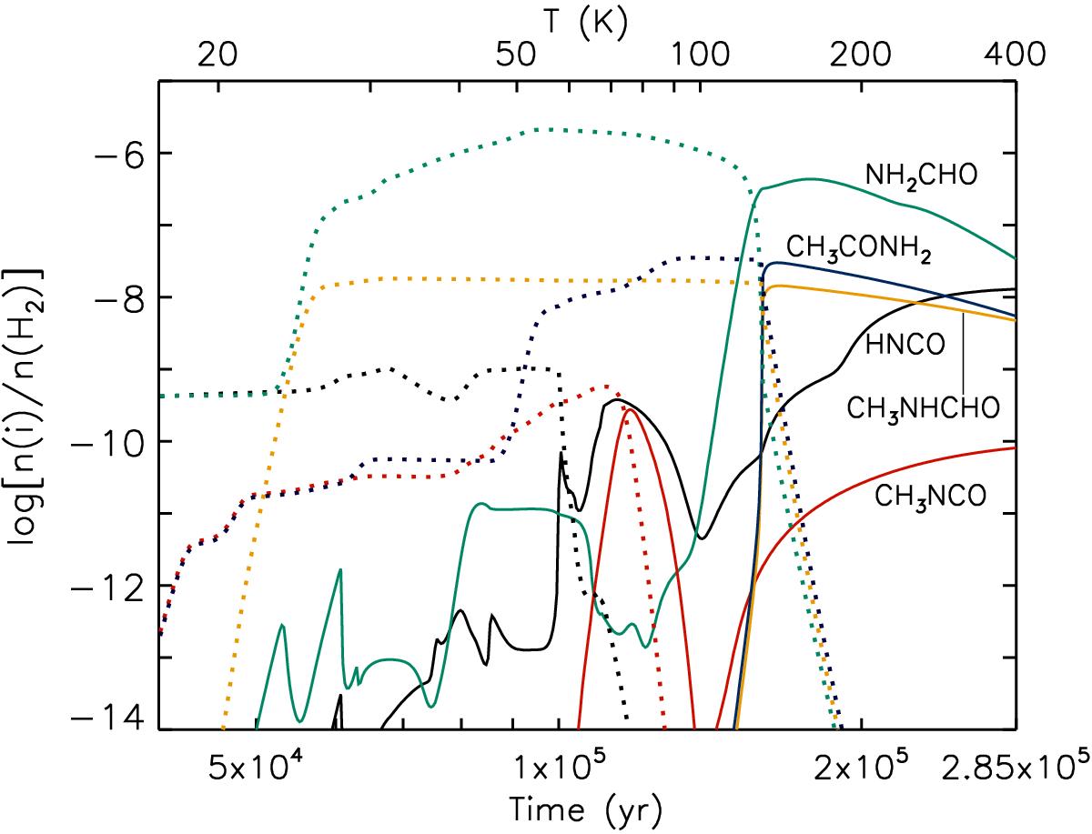
Fig. 5

image

Calculated abundances of selected chemical model species with respect to H2 for model M1, during warm-up from 8 K to 400 K. Solid lines indicate gas-phase abundances; dotted lines of the same color indicate solid-phase abundances of the same species.

Current usage metrics show cumulative count of Article Views (full-text article views including HTML views, PDF and ePub downloads, according to the available data) and Abstracts Views on Vision4Press platform.

Data correspond to usage on the plateform after 2015. The current usage metrics is available 48-96 hours after online publication and is updated daily on week days.

Initial download of the metrics may take a while.