Free Access

Fig. A.2

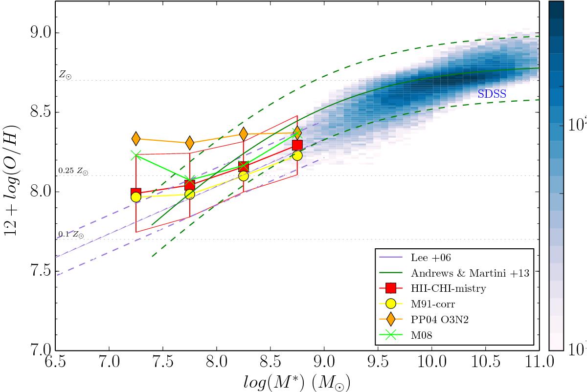
image

Comparison between the MZR derived with different strong line calibrations: PP04 O3N2 and M13 (orange diamonds), M08 (green crosses) and M91corr (yellow circles). We use the formulation of the M91 calibration given by Kobulnicky et al. (2003), which takes into account the dependence of R23 on the ionization parameter. In addition, we correct these metallicities following Pérez-Montero et al. (2013) to make them consistent with those derived using the direct method. We see that HCm and M91 relations show a similar trend in the whole metallicity range. Green lines are the Andrews & Martini (2013) MZR and ± 1σ uncertainties.

Current usage metrics show cumulative count of Article Views (full-text article views including HTML views, PDF and ePub downloads, according to the available data) and Abstracts Views on Vision4Press platform.

Data correspond to usage on the plateform after 2015. The current usage metrics is available 48-96 hours after online publication and is updated daily on week days.

Initial download of the metrics may take a while.