Free Access

Fig. 11

image

Download original image

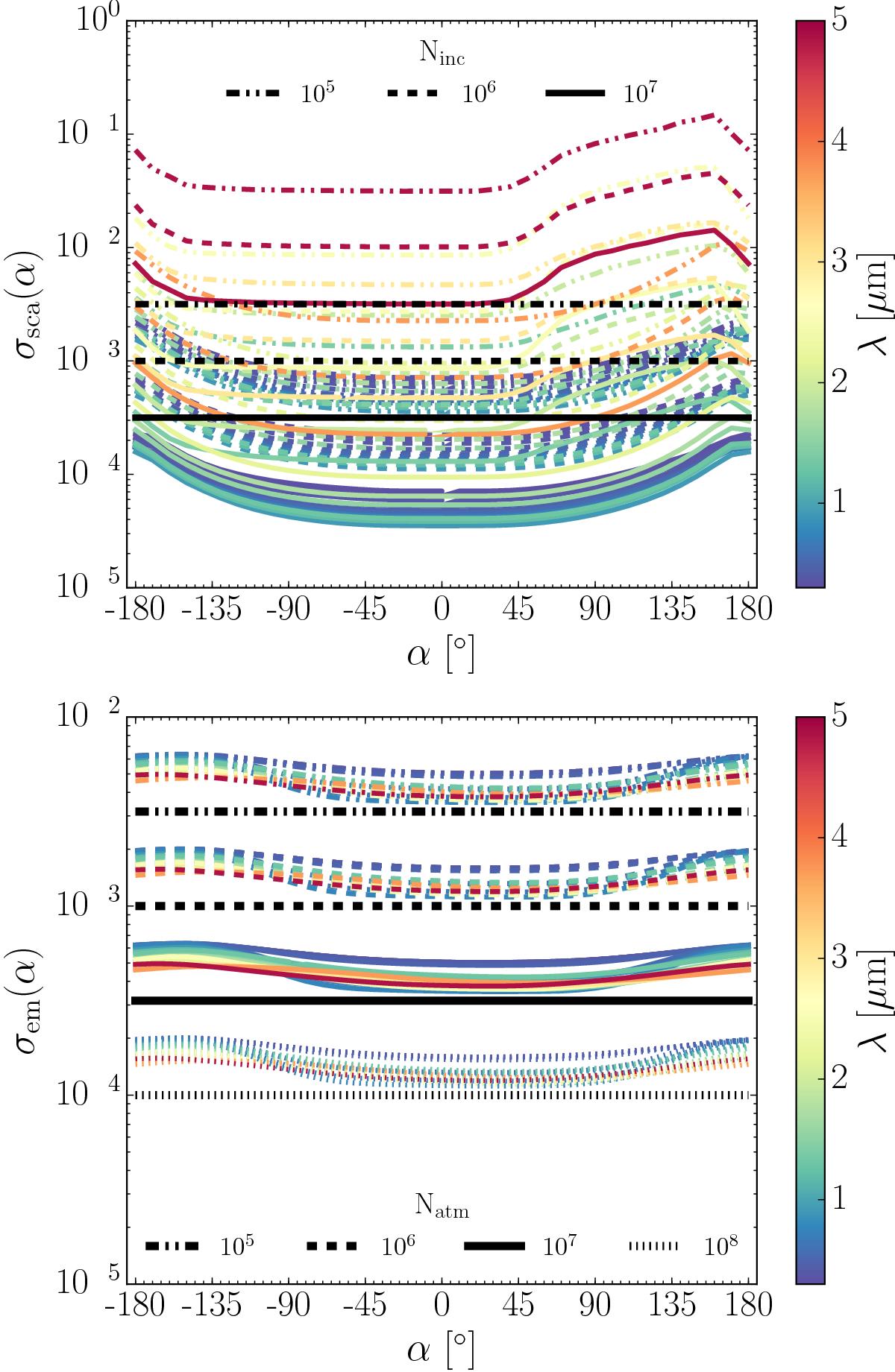
Scattered light (top) and emitted light (bottom), noise error σ (Eq. (40)) with viewing angle α and wavelength (colour bar). The nominal noise error values for Ninc/atm = 105 (dash-dot line), 106 (dashed line), 107 (solid line) and 108 (dotted line) are the horizontal black lines. Most scattered and emitted light images are near or below the nominal values, suggesting that each packet contributes once or more to multiple images.

This figure is made of several images, please see below:

Current usage metrics show cumulative count of Article Views (full-text article views including HTML views, PDF and ePub downloads, according to the available data) and Abstracts Views on Vision4Press platform.

Data correspond to usage on the plateform after 2015. The current usage metrics is available 48-96 hours after online publication and is updated daily on week days.

Initial download of the metrics may take a while.