Free Access

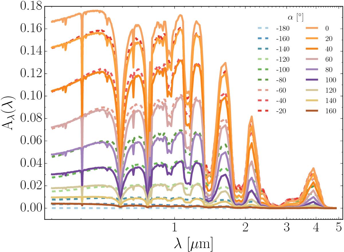
Fig. 4

image

Download original image

Scattered light albedo spectra Aλ(α) (Eq. (31)) as a function of wavelength at several viewing angles α, where α = 0° defines the sub-stellar point. Differences in the 3D cloud structure on the east and west hemispheres from the sub-stellar points produce small variations in Aλ across the 360° phase space at optical wavelengths. Na and K absorption are responsible for the drops in Aλ in the optical, while H2O features are the main absorber at near-IR to IR wavelengths.

Current usage metrics show cumulative count of Article Views (full-text article views including HTML views, PDF and ePub downloads, according to the available data) and Abstracts Views on Vision4Press platform.

Data correspond to usage on the plateform after 2015. The current usage metrics is available 48-96 hours after online publication and is updated daily on week days.

Initial download of the metrics may take a while.