Free Access

Fig. 8

image

Download original image

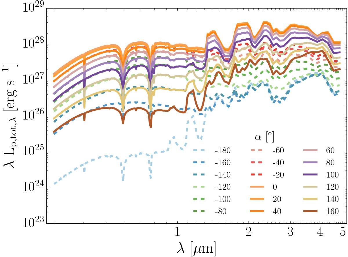
Combined scattered and emitted light spectral energy distribution λLp,tot (Eq. (38)) of our HD 189733b simulation as a function of wavelength at several viewing angles α (α = 0° is the sub-stellar point). The optical wavelength scattered light luminosity drops off as the nightside of the planet is viewed. The emission features between the dayside and nightside are ~1 order of magnitude different dependent on wavelength.

Current usage metrics show cumulative count of Article Views (full-text article views including HTML views, PDF and ePub downloads, according to the available data) and Abstracts Views on Vision4Press platform.

Data correspond to usage on the plateform after 2015. The current usage metrics is available 48-96 hours after online publication and is updated daily on week days.

Initial download of the metrics may take a while.