Free Access

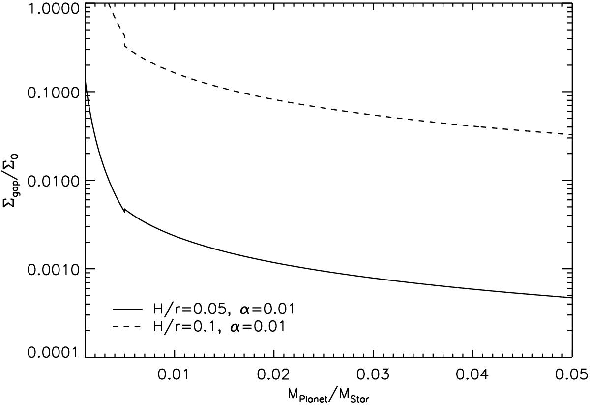
Fig. 13

image

Depth of gaps opened by putative giant planets in the disk of SAO 206462 as a function of the planet-to-star mass ratio computed from the empirical relations in Fung et al. (2014) for the two cases considered in this paper (see text). For the pessimistic case (dashed curve) and a planet-to-star mass ratio below ~3.5 × 10-3 (i.e., planet mass below ~6 MJ), a planet cannot open a gap in the disk, hence the dust column density above the planet is not reduced.

Current usage metrics show cumulative count of Article Views (full-text article views including HTML views, PDF and ePub downloads, according to the available data) and Abstracts Views on Vision4Press platform.

Data correspond to usage on the plateform after 2015. The current usage metrics is available 48-96 hours after online publication and is updated daily on week days.

Initial download of the metrics may take a while.