Free Access

Fig. B.1

image

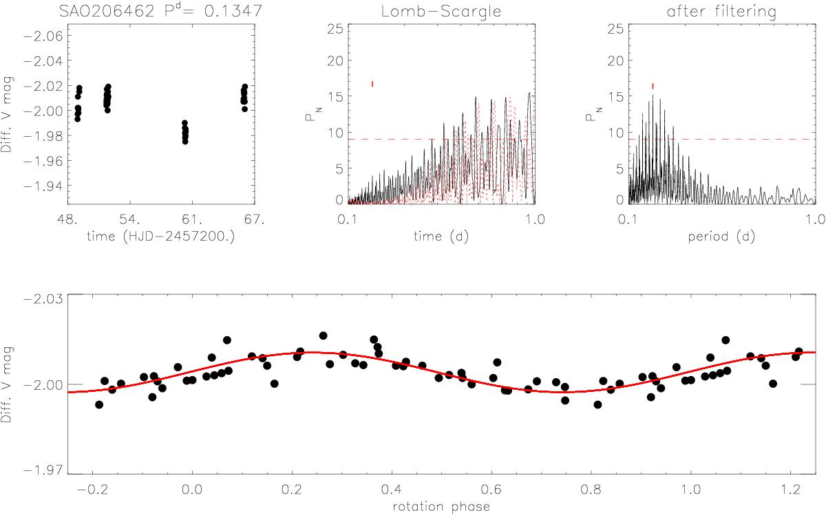
Photometric analysis of SAO206462. Top row from left to right: V-band differential magnitudes versus Heliocentric Julian Day, Lomb-Scargle periodogram, and the periodogram after filtering. For the Lomb-Scargle periodogram, we show the spectral window function (red dotted line), the power level corresponding to FAP = 1% (horizontal dashed line), and the peak corresponding to the rotation period (red arrow). Bottom panel: Light curve phased with the rotation period. The solid line represents the sinusoidal fit.

Current usage metrics show cumulative count of Article Views (full-text article views including HTML views, PDF and ePub downloads, according to the available data) and Abstracts Views on Vision4Press platform.

Data correspond to usage on the plateform after 2015. The current usage metrics is available 48-96 hours after online publication and is updated daily on week days.

Initial download of the metrics may take a while.