Free Access

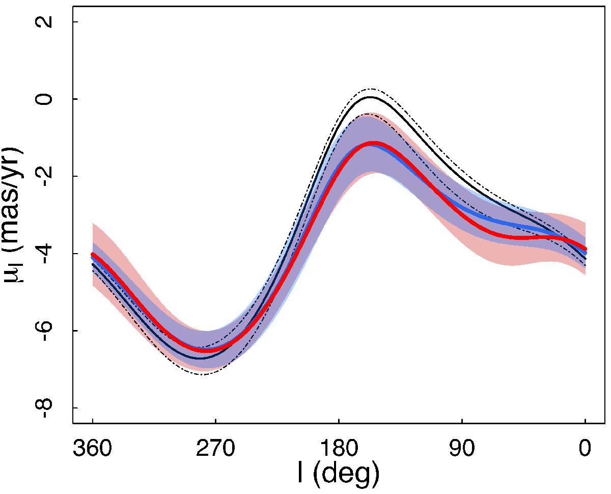
Fig. 10

image

μl in function of Galactic longitude for the data (red curve) together with the 95% bootstrap confidence band (pink shaded area). The three black dotted curves show the trend obtained with simulations with circular velocity 260, 238 and 220 km s-1, respectively, from the lowest to the highest curve. Simulations with an additional velocity to the Local Arm (see text) produce the blue curve, for which the light blue shaded area shows the 2σ confidence band, calculated with 30 simulated catalogs.

Current usage metrics show cumulative count of Article Views (full-text article views including HTML views, PDF and ePub downloads, according to the available data) and Abstracts Views on Vision4Press platform.

Data correspond to usage on the plateform after 2015. The current usage metrics is available 48-96 hours after online publication and is updated daily on week days.

Initial download of the metrics may take a while.