Free Access

Fig. 8

image

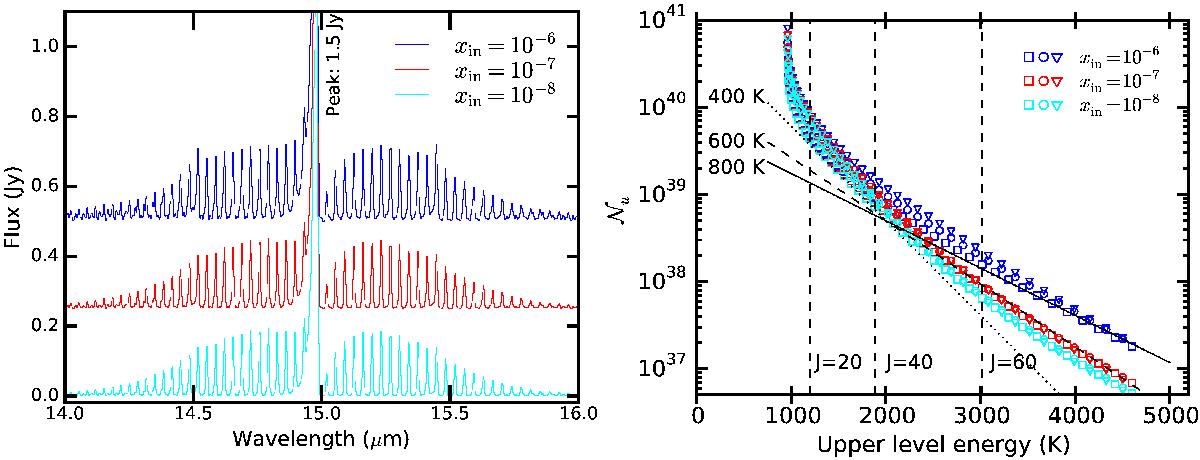
Left: full disk spectra at JWST-MIRI resolving power (R = 2200) for three disk models with different inner CO2 abundances. The outer CO2 abundance is 10-7 with g/dgas = 1000. The models with an inner abundance of 10-8 and 10-7 are hard to distinguish, with very similar P and R-branch shapes. The spectrum of the model with high inner abundances of 10-6 are flatter in the region from 14.6 to 14.9 μm and the wings are also more extended leading to higher high to mid J line ratios. Right: number of molecules in the upper state as function of the upper level energy inferred from the spectra on the left (Boltzmann plot). Inverse triangles denote the number of molecules inferred from P-branch lines, squares from Q-branch lines and circles from R-branch lines. Vertical dashed lines show the upper level energies of the J = 20,40,60,v2 = 1 levels. the black dotted, dashed and solid lines show the expected slope for a rotational excitation temperature of 400, 600 and 800 K respectively. The near vertical asymptote near upper level energies of 1000 K (the v2 = 1 rotational ground state energy is due to the regions with large optical depths that dominate the emission from these levels. From around J = 20 the curve flattens somewhat and between J = 20 and J = 40 the curve is well approximated by the theoretical curve for emission from a 400 K gas. At higher J levels, the model with the highest inner abundance starts to deviate from the other two models as inner and deeper region become more important for the total line emission. Above J = 60 the models in with an inner abundance of 10-8 and 10-7 are well approximate with a 600 K gas, while the higher inner abundance model is better approximated with a 800 K gas.

This figure is made of several images, please see below:

Current usage metrics show cumulative count of Article Views (full-text article views including HTML views, PDF and ePub downloads, according to the available data) and Abstracts Views on Vision4Press platform.

Data correspond to usage on the plateform after 2015. The current usage metrics is available 48-96 hours after online publication and is updated daily on week days.

Initial download of the metrics may take a while.