Free Access

Fig. 6

image

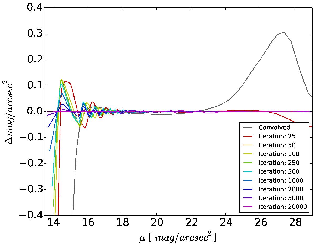
Effect of the PSF on the profiles of simulated galaxies. The black curve shows the surface brightness difference between the convolved and original profiles of the simulated galaxy as a function of local surface brightness. The image is convolved with an r-band MegaCam PSF model and an FWHM equal to 0.81′′. The offset becomes significant above 25 mag arcsec-2 and reaches 0.3 mag arcsec-2 at the 27 mag arcsec-2 isophote. The colored curves show the difference between the deconvolved and original profiles for different numbers of iterations (given in the box).

Current usage metrics show cumulative count of Article Views (full-text article views including HTML views, PDF and ePub downloads, according to the available data) and Abstracts Views on Vision4Press platform.

Data correspond to usage on the plateform after 2015. The current usage metrics is available 48-96 hours after online publication and is updated daily on week days.

Initial download of the metrics may take a while.