Free Access

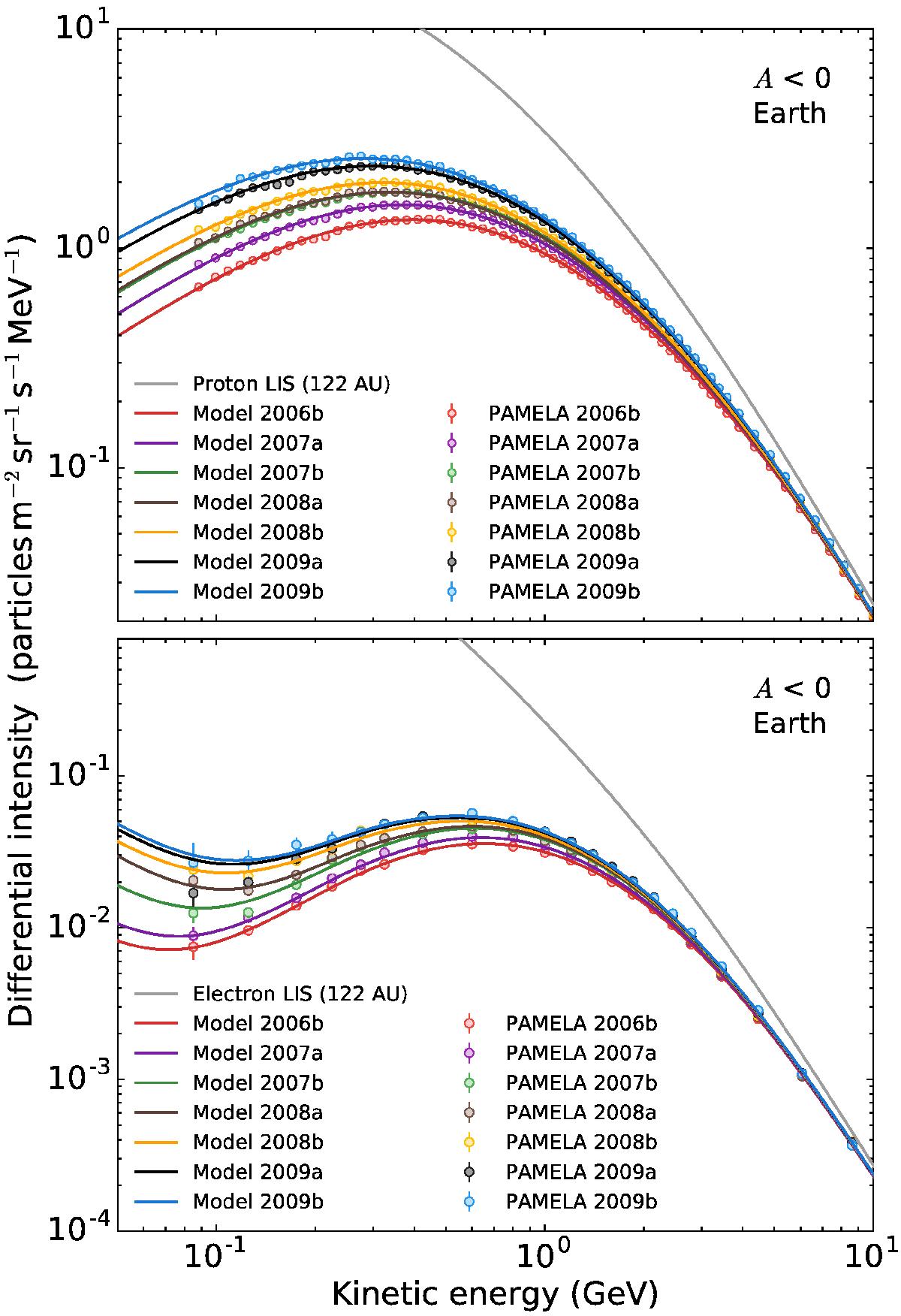
Fig. 3

image

PAMELA energy spectra for galactic CR protons (top) and electrons (bottom) are given by the coloured circles, and are overlaid by modelled spectra (solid lines) of corresponding colour. They are computed for an A < 0 HMF polarity configuration, with respect to the VLIS specified at 122 AU (grey lines). PAMELA measurements were reported by Adriani et al. (2013, 2015).

Current usage metrics show cumulative count of Article Views (full-text article views including HTML views, PDF and ePub downloads, according to the available data) and Abstracts Views on Vision4Press platform.

Data correspond to usage on the plateform after 2015. The current usage metrics is available 48-96 hours after online publication and is updated daily on week days.

Initial download of the metrics may take a while.