Free Access

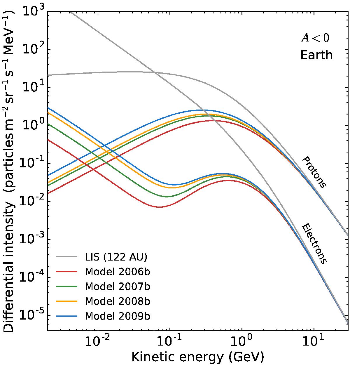
Fig. 4

image

Computed proton and electron spectra at the Earth for 2006b (red) to 2009b (blue), over an extended energy range for the A < 0 cycle, with respect to the corresponding VLIS at 122 AU (grey lines). We note the differences between the two VLISs and how protons and electrons are modulated differently at lower energies.

Current usage metrics show cumulative count of Article Views (full-text article views including HTML views, PDF and ePub downloads, according to the available data) and Abstracts Views on Vision4Press platform.

Data correspond to usage on the plateform after 2015. The current usage metrics is available 48-96 hours after online publication and is updated daily on week days.

Initial download of the metrics may take a while.